2011《中级财务管理》预习:利率的计算(1)
更新时间:2011-01-17 10:02:29
来源:|0
浏览
收藏
中级会计职称报名、考试、查分时间 免费短信提醒
(一)、复利计息方式下的利率计算
1、对于一次性收付款项,根据其复利终值或现值的计算公式可得出折现率的计算公式为:
利用多功能计算器计算可求得折现率。
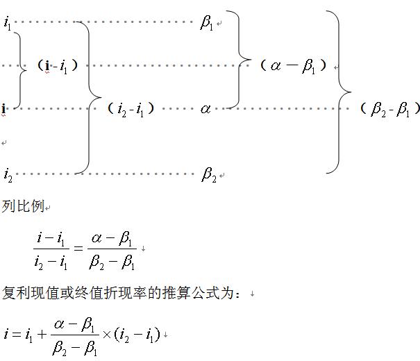
但更多时候是用内插法计算
若所求的折现率为i,对应的复利现值或终值系数为α;i1、i2分别为与i相邻的两个折现率,且i1
则

[例3-19]
郑先生下岗获得50000元现金补助,他决定趁现在还有劳动能力,先找工作糊口,将款项存起来。郑先生预计,如果20年后这笔款项连本带利达到250000元,那就可以解决自己的养老问题。问银行存款的年利率为多少,郑先生预计才能变为现实
解答:
5000元为复利现值,250000为复利终值,则
250000=5000×(F/P,i,20)
(F/P,i,20)=5,即 ,即 =8.38%
运用内插法及逐步测试法计算
当i=8%时,(F/P,8%,20)=4.661
当i=9%时,(F/P,9%,20)=5.604
因此,i介于8%和9%之间。
8% 4.661
i 5
9% 5.604
列比例
(i-8%)/(9%-8%)=(5-4.661)/(5.604-4.661)
i=8.359%
环球网校会计职称辅导新增多种套餐五折优惠
2011年会计职称考试网络辅导招生简章 转自环球网校edu24ol.com
编辑推荐
最新资讯
- 2026中级会计经济法全书知识点名称+对应分值汇总,背题抓分不盲目2026-03-21
- 26年中级会计实务各章节重点+思维导图,可直接下载!备考省80%时间2026-03-20
- 2026中级会计经济法:知识点+分值速览(免费下载,高效抓分)2026-03-20
- 2026中级会计财务管理必背公式汇总|可下载打印,记牢直接提分2026-03-19
- 2026中级会计三色笔记:实务+经济法+财管三科汇总,覆盖全书核心考点2026-03-19
- 2026中级财务管理公式汇总免费下载!告别死记硬背,计算不丢分2026-03-18
- 2026中级会计实务重点分录汇总免费领!告别死记硬背,应试必用2026-03-18
- 2026中级会计实务教材目录+重点章节提醒!2026-03-18
- 救命!2026中级会计财务管理三色笔记,公式+考点一站式搞定2026-03-14
- 中级会计实务教材目录:25章全梳理+重点章节拆解2026-03-13


