2012年中级财务管理 预习辅导:第二章节(6)
更新时间:2011-07-06 09:34:48
来源:|0
浏览
收藏
中级会计职称报名、考试、查分时间 免费短信提醒
第二节 资产组合的风险与收益分析
本节大纲要求:掌握资产组合总风险的构成及系统风险的衡量方法
本节具体内容:
一、资产组合的风险与收益
(一)资产组合含义
两个或两个以上资产所构成的集合,称为资产组合。
如果资产组合中的资产均为有价证券,则该资产组合也可称为证券组合。
(二)资产组合的预期收益率 [E(Rp)]
资产组合的预期收益率,就是组成资产组合的各种资产的预期收益率的加权平均数,其权数等于各种资产在整个组合中所占的价值比例。即:

Wi表示第i种资产在整个组合中所占的价值比值。
(三)资产组合风险的度量
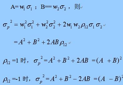
1.两项资产组合的风险
两项资产组合的收益率的方差满足以下关系式:

记忆时:

反映两项资产收益率的相关程度,即两项资产收益率之间相对运动的状态,称为相关系数。
理论上,相关系数处于区间 [-1,1]内。
① 当
=1时,表明两项资产的收益率具有完全正相关的关系,即它们的收益率变化方向和变化幅度完全相同,这时,

编辑推荐
最新资讯
- 2026中级财务管理公式汇总免费下载!告别死记硬背,计算不丢分2026-03-18
- 2026中级会计实务重点分录汇总免费领!告别死记硬背,应试必用2026-03-18
- 2026中级会计实务教材目录+重点章节提醒!2026-03-18
- 救命!2026中级会计财务管理三色笔记,公式+考点一站式搞定2026-03-14
- 中级会计实务教材目录:25章全梳理+重点章节拆解2026-03-13
- 备考2026中级会计实务,重点分录汇总来了,轻松搞定分录难题2026-03-09
- 2026年中级会计财务管理哪几章是核心备考必攻难点2026-03-03
- 2026中级会计实务必背:长期股权投资权益法核心考点全解2026-03-03
- 2026中级会计经济法必背:股份有限公司股东会核心考点速记2026-03-03
- 2026中级会计实务/财管/经济法三色笔记核心考点汇总2026-03-03


