2012年中级财务管理 预习辅导:第三章节(9)
更新时间:2011-08-17 08:56:44
来源:|0
浏览
收藏
中级会计职称报名、考试、查分时间 免费短信提醒
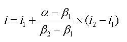
2、若已知年金现值(终值)系数以及期数,推算折现率
若所求的折现率为i,对应的年金现值系数为α;i1、i2分别为与i相邻的两个折现率,且i1

普通年金折现率的推算公式为:

即付年金折现率的推算可以参照普通年金折现率的推算方法。
编辑推荐
最新资讯
- 救命!2026中级会计经济法速记口诀50条,背会直接拿捏法条2026-03-24
- 2026中级会计经济法速记口诀50条|可下载打印,法条速记不费脑2026-03-23
- 2026中级会计财务管理速记口诀50条(可下载),公式/考点秒记,告别死背2026-03-23
- 2026中级会计财务管理100母题汇总(可下载打印),公式+真题同源,高效提分2026-03-23
- 2026中级会计经济法100母题汇总(可下载+含解析),背会稳冲60+2026-03-23
- 2026中级会计实务100母题汇总(可下载+含解析),吃透稳提20分2026-03-23
- 2026中级会计财务管理三色笔记:覆盖全书重点,精准分层2026-03-22
- 2026中级会计经济法全书知识点名称+对应分值汇总,背题抓分不盲目2026-03-21
- 26年中级会计实务各章节重点+思维导图,可直接下载!备考省80%时间2026-03-20
- 2026中级会计经济法:知识点+分值速览(免费下载,高效抓分)2026-03-20


