2013年中级会计职称《财务管理》预习:销售定价管理
第六章 收益与分配管理
第二节 收入管理
二、销售定价管理
(一)销售定价管理的含义
销售定价管理是指在调查分析的基础上,选用合适的产品定价方法,为销售的产品制定最为恰当的售价,并根据具体情况运用不同价格策略,以实现经济效益最大化的过程。
(二)影响产品价格的因素
1、价值因素
2、成本因素
3、市场供求因素
4、竞争因素
5、政策法规因素
(三)产品定价方法
分为以成本为基础的定价方法 和以市场需求为基础的定价方法
(1)以成本为基础的定价方法包括 保本点定价法 、完全成本定价法、目标利润法、变动成本定价法
(2)以市场需求为基础的定价方法包括 需求价格弹性系数定价法和需求函数定价法
1、以成本为基础的定价方法
变动成本:可以作为增量产量的定价依据,但不能作为一般产品的定价依据。
制造成本:包括直接材料、直接人工和制造费用。由于不包括期间费用,因此不能正确反映企业真实价值消耗和转移。
完全成本:包括制造成本和管理费用、销售费用及财务费用等各种期间费用。以此为基础制定价格既可以保障企业简单再生产的正常进行,又可以使劳动者为社会劳动所创造的价值得以全部实现,因此当前产品定价的基础仍然是产品的完全成本。
【合格标准】
2、以市场需求为基础的定价方法
(1)需求价格弹性系数定价法
①需求价格弹性系数:
在其他条件不变的情况下,某种产品的需求量随其价格的升降而变动的程度,就是需求价格弹性系数。
需求价格弹性系数E=
=
由于需求与价格是反方向变动,所以需求价格弹性系数为小于等于0的值。
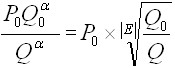
②运用需求价格弹性系数确定产品的销售价格
产品销售价格=
式中:P0一基期单位产品价格;
Q0一基期销售数量;
E一需求价格弹性系数;
P一单位产品价格;
Q一预计销售数量;
一需求价格弹性系数绝对值的倒数,即![]()
【合格标准】
最新资讯
- 2026中级会计备考资料包+考试日程+报考时间,三合一汇总,备考必看2026-04-30
- 2026中级会计三科高频考点+三色笔记,全书重点汇总,备考直接用2026-04-30
- 2026中级会计高频考点三色笔记已打包,搭配科目技巧,现在背还来得及2026-04-24
- 救命!2026中级会计经济法速记口诀50条,背会直接拿捏法条2026-03-24
- 2026中级会计经济法速记口诀50条|可下载打印,法条速记不费脑2026-03-23
- 2026中级会计财务管理速记口诀50条(可下载),公式/考点秒记,告别死背2026-03-23
- 2026中级会计财务管理100母题汇总(可下载打印),公式+真题同源,高效提分2026-03-23
- 2026中级会计经济法100母题汇总(可下载+含解析),背会稳冲60+2026-03-23
- 2026中级会计实务100母题汇总(可下载+含解析),吃透稳提20分2026-03-23
- 2026中级会计财务管理三色笔记:覆盖全书重点,精准分层2026-03-22
