中级会计职称《中级财务管理》第三章知识点:筹资管理
筹资管理
一、资本成本
资本成本是衡量资本结构优化程度的标准,也是对投资获得经济效益的最低要求。
(一)资本成本的含义
资本成本是指企业为筹集和使用资本而付出的代价,包括筹资费用和占用费用两部分。
1、筹资费用是指企业在筹措资金过程中为获取资本而付出的代价,如证券发行费、向银行借款支付的手续费。筹资费用视为筹资数额的一项扣除。
2、占用费用是指企业在资本使用过程中因占用资本而付出的代价,如股利和利息。
(二)资本成本的作用
(1)资本成本是比较筹资方式、选择筹资方案的依据。
(2)平均资本成本是衡量资本结构是否合理的依据。
(3)资本成本是评价投资项目可行性的主要标准。
(4)资本成本是评价企业整体业绩的重要依据。
(三)影响资本成本的因素
【补充】投资报酬率(资本成本)=无风险报酬率+风险报酬率
=纯利率+通货膨胀补偿率+风险报酬率
|
影响因素 |
内容 |
|
总体经济环境 |
总体经济环境变化的影响,反映在无风险报酬率上。
(1)如果国民经济保持健康、稳定、持续增长、整个社会经济的资金供给和需求相对均衡且通货膨胀水平低,资金所有者投资风险低,预期报酬率低,筹资的资本成本较低。
(2)如果国民经济不景气或者经济过热,通货膨胀持续居高不下,投资者投资风险大,预期报酬率高,筹资的资本成本就高。 |
|
资本市场条件 |
资本市场效率表现为资本市场上资本商品的市场流动性。
(1)资本商品的流动性高,筹资的资本成本较低;
(2)资本市场缺乏效率,证券的市场流动性低,投资者投资风险加大,要求的预期报酬率高,筹资的资本成本较高。 |
|
企业经营状况和融资状况 |
(1)经营风险是投资决策的结果,表现为资产报酬率的不确定性。
(2)融资状况导致的财务风险是筹资决策的结果,表现为股东权益资本报酬率的不确定性。
(3)经营风险、财务风险共同构成企业的总体风险,如果企业经营风险高、财务风险大,则企业总体风险水平高,投资者要求的预期报酬率高,筹资资本成本相应就大。 |
|
企业对筹资规模和时限的要求 |
企业一次性筹集的资金规模越大、占用资金时限越长,资本成本就越高。当然,融资规模、时限与资本成本的正向相关性并非线性关系。 |
(四)个别资本成本的计算
债务资本成本:银行借款资本成本;公司债券资本成本;融资租赁资本成本。
权益资本成本:普通股资本成本;留存收益资本成本。
1、资本成本计算的基本模式
(1)一般模式:不考虑资金时间价值

(2)折现模式:考虑资金时间价值
筹资净额现值-未来资本清偿额现金流量现值=0
资本成本率=所采用的折现率
2. 银行借款资本成本
(1)一般模式(没有考虑时间价值)

(2)贴现模式(考虑资金时间价值)
借款资本成本率是使得税后利息与本金的现值等于借款净额的折现率。
借款本金×(1-筹资费率)
=借款本金×借款年利率×(1-所得税税率)×(P/A,K,n)+借款本金×(P/F,K,n)
通过“插值法”计算出的折现率就是借款的资本成本率。
3、公司债券资本成本
(1)一般模式:

4.融资租赁资本成本(只能用贴现模型计算)
(1)若设备的净残值归出租方:

租赁资产原值=融资租赁资产租金的现值+租赁资产到期残值的现值
解得的折现率为融资租赁资本成本
(2)若设备的净残值归承租方:

租赁资产原值=融资租赁资产租金的现值
5.普通股资本成本
(1)股利增长模型法:
在股利增长率固定的情况下,采用股利折现模型计算普通股成本的公式为:
普通股筹资成本

(2)采用资本资产定价模型计算普通股成本的公式为:
普通股资本成本=无风险报酬率+股票贝塔系数×(市场平均报酬率-无风险报酬率)
Ks=Rf+β?(Rm-Rf)
【补充】
①一般情况下,为方便起见,通常用短期国库券的利率近似代替无风险报酬率。
②ß系数反映单项资产风险收益率与市场平均风险收益率之间变动关系。它表示单项资产风险收益率是市场平均风险收益率的倍数。
③公式中“市场平均报酬率-无风险报酬率”,表示市场平均风险报酬率。
④公式中“股票贝塔系数×(市场平均报酬率-无风险报酬率)”表示某种股票(或资产)的风险报酬率。
(六)边际资本成本
边际资本成本是企业追加筹资的成本,是进行追加筹资的决策依据。
筹资方案组合时,边际资本成本的权数采用目标价值权数。
二、杠杆效应
财务管理中的杠杆效应,表现为:由于特定固定支出或费用的存在,导致当某一财务变量以较小幅度变动时,另一变量会以较大幅度变动。财务管理中的杠杆效应包括经营杠杆、财务杠杆和总杠杆三种形式。
(一)经营杠杆效应
1、经营杠杆的含义
经营杠杆是指由于固定经营成本的存在而使得企业资产报酬(息税前利润)变动率大于业务量变动率的现象。
经营杠杆反映了资产报酬的波动性,用以评价企业的经营风险。
【补充】 几个概念:
(1)边际贡献(M)
边际贡献是指销售收入减去变动成本以后的差额,计算公式为:
边际贡献=销售收入-变动成本
=(销售单价-单位变动成本)×产销量
= 单位边际贡献×产销量
(2)息税前利润(EBIT)
息税前利润是指企业支付利息和交纳所得税前的利润,其计算公式为:
息税前利润EBIT
=销售收入总额-变动成本总额-固定成本
=产销量Q(单价P-单位变动成本V)-固定经营成本F
=产销量Q*单位边际贡献-固定经营成本F
=边际贡献总额M-固定经营成本F
(3)税前利润= 边际贡献M-固定经营成本F-利息I
=息税前利润EBIT-利息I
经营杠杆效应的理解:当产品中存在固定经营成本时,如果其他条件不变,产销业务量的增加虽然不会改变固定经营成本总额但会降低单位产品分摊的固定经营成本,从而提高单位产品利润,使息税前利润的增长率大于产销量的增长率。
2、经营杠杆的计量
只要企业存在固定经营成本,就存在经营杠杆效应。但不同产销业务量,其经营杠杆效应的大小程度是不一致的。
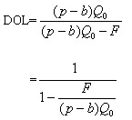
对经营杠杆的测度最常用的是经营杠杆系数。
经营杠杆系数,是指息税前利润变动率相当于产销业务量变动率的倍数。
(1).根据定义计算公式为:

计划期息税前利润变动率=经营杠杆系数(DOL)×产销量变动率
或:
计划期产销量变动率=息税前利润变动率÷经营杠杆系数(DOL)
(2).简化公式:

3、经营杠杆与经营风险的关系
(1)引起企业经营风险的主要原因是市场需求和成本等因素的不确定性,经营杠杆本身并不是利润不稳定的根源,只是资产报酬波动的表现。但是经营杠杆扩大了市场和生产等不确定因素对利润变动的影响。
(2)经营杠杆系数越高,表明资产报酬等利润波动程度越大,企业的经营风险越大.
(3)在企业不发生经营性亏损、息税前利润为正的前提下,经营杠杆系数最低为1,不会为负数,只要有固定经营成本存在,经营杠杆系数总是大于1.

(4)影响经营杠杆系数的因素包括企业成本结构中固定成本比重,息税前利润的水平。其中,息税前利润水平又受到产品销售数量,产品销售单价,单位变动成本和固定成本等因素的影响。固定成本比重越高、成本水平越高、产品销售数量和销售价格水平越低,经营杠杆效应越大,反之依然。

从上式可看出,P, Q与经营杠杆系数DOL反向变化。
F,b与经营杠杠系数DOL同向变化。
(二)、财务杠杆
1、财务杠杆的含义
财务杠杆是指由于固定性资本成本的存在而导致普通股收益(或每股收益)变动率大于息税前利润变动率的现象。
财务杠杆反映股权资本报酬的波动性,用以评价企业的财务风险。
【注】普通股收益=(息税前利润-债务资本利息)(1-所得税税率)
普通股每股收益=普通股收益/普通股股数
财务杠杆效应的理解:
当有固定利息费用等资本成本存在时,如果其他条件不变,息税前利润的增加虽然不会改变固定利息费用总额,但会降低每一元息税前利润分摊的利息费用,从而提高每股收益。使得普通股收益的增长率大于息税前利润的增长率,进而产生财务杠杆效应。
普通股收益=(息税前利润-债务资本利息)(1-所得税税率)

2、财务杠杆的计量
只要企业融资方式中存在固定性资本成本,就存在财务杠杆效应。如固定利息、固定融资租赁费等的存在,都会产生财务杠杆效应。
对财务杠杆测度的主要指标是财务杠杆系数。
财务杠杆系数是指普通股每股收益的变动率相当于息税前利润变动率的倍数。
3、财务杠杆与财务风险
财务风险是指企业由于筹资原因产生的资本成本负担而导致的普通股收益波动的风险。
(1)引起财务风险的主要原因是资产报酬的不利变化和资本成本的固定负担。财务杠杆放大了资产报酬变化对普通股收益的影响。财务杠杆系数越高,表明普通股收益的波动程度越大,财务风险也就越大。
(2)只要固定性资本成本存在,财务杠杆系数总是大于1.
(3)影响财务杠杆的因素包括:企业资本结构中债务资本比重;普通股收益水平;所得税税率水平。其中普股收益水平又受息税前利润、固定资本成本高低的影响。债务比重越高、固定的资本成本支付额越高、息税前利润越低,财务杠杆效应越大,反之依然。
(三)、总杠杆
1、总杠杆的概念
总杠杆是指由于固定经营成本和固定资本成本的存在而导致的普通股每股收益变动率大于产销量变动率的现象。
2、总杠杆的计量
只要存在固定性经营成本和固定性资本成本,就存在总杠杆效应。
对总杠杆测度的主要指标是总杠杆系数。
总杠杆系数是指普通股每股收益变动率相当于产销量变动率的倍数。
三、资本结构
(一)资本结构的概述
|
资本结构含义 |
资本结构是指企业资本总额中各种资本的构成及其比例关系。资本结构有广义与狭义之分:
(1)广义的资本结构包括全部债务与股东权益的构成比率;
(2)狭义的资本结构是指长期负债与股东权益资本构成比率。在狭义资本结构下,短期债务作为营运资金来管理。 |
|
最佳资本结构 |
在一定条件下使企业平均资本成本率最低、企业价值最大的资本结构。 |
(二)影响资本结构的因素
|
1、企业经营状况的稳定性和成长率 |
(1) 如果产销业务稳定,企业可较多地负担固定的财务费用,反之则相反。
(2) 如果产销业务量能够以较高的水平增长,企业可能采用高负债的资本结构,以提升权益资本的报酬,反之则相反。 |
|
2、企业财务状况和信用等级 |
企业财务状况良好,企业容易获得债务资本,反之则相反。 |
|
3、企业资产结构 |
(1)拥有大量固定资产的企业主要通过长期负债和发行股票融通资金;
(2)拥有较多流动资产的企业更多地依赖流动负债融通资金;
(3)资产适用于抵押贷款的企业负债较多;
(4)以技术研发为主的企业则负债较少。 |
|
4、企业投资人和管理当局的态度 |
(1)为防止控股权稀释,企业一般尽量避免普通股筹资,而是采用优先股或债务资本筹资。
(2)稳健的管理当局偏好于低负债比例的资本结构。 |
|
5、行业特征和企业发展周期 |
(1)产品市场稳定的成熟行业经营风险低,可多负债;高新技术企业经营风险高,可尽量少负债。
(2)企业发展周期影响:
①企业初创阶段经营风险高,可少用负债; ②企业发展成熟阶段经营风险低,可增加债务比重;
③企业收缩阶段上,产品市场占有率下降,经营风险逐步加大,应降低债务资本比重,保证经营现金流量能够偿付到期债务。 |
|
6、经济环境的税务政策和货币政策 |
(1)当所得税税率较高时,债务资本的抵税作用大,企业充分利用这种作用以提高企业价值。
(2)当国家执行了紧缩的货币政策时,市场利率较高,企业债务资本成本增大。 |
(三)资本结构优化(每股收益分析法;平均资本成本比较法;公司价值分析法)
1、每股收益分析法
|
方法
原理 |
每股收益无差别点是不同筹资方式下每股收益相等时的息税前利润或业务量水平。
每股收益无差别点法是通过分析资本结构与每股收益之间的关系,计算各种筹资方案的每股收益的无差别点,进而确定合理的资本结构的方法。 |
|
每股收益无差别点计算公式 |
![]() |
|
决策 |
(1)当预期的息税前利润>每股收益无差别点,选择财务杠杆效应较大(利息大 )的筹资方式融资。
(2)当预期的息税前利润<每股收益无差别点,选择财务杠杆效应较小(利息小)的筹资方式融资。 |
|
缺点 |
该种方法只考虑了资本结构对每股收益的影响,并假定每股收益越大股票价格也越高,把资本结构对风险的影响置之于视野之外,是不全面的。 |
最新资讯
- 救命!2026中级会计经济法速记口诀50条,背会直接拿捏法条2026-03-24
- 2026中级会计经济法速记口诀50条|可下载打印,法条速记不费脑2026-03-23
- 2026中级会计财务管理速记口诀50条(可下载),公式/考点秒记,告别死背2026-03-23
- 2026中级会计财务管理100母题汇总(可下载打印),公式+真题同源,高效提分2026-03-23
- 2026中级会计经济法100母题汇总(可下载+含解析),背会稳冲60+2026-03-23
- 2026中级会计实务100母题汇总(可下载+含解析),吃透稳提20分2026-03-23
- 2026中级会计财务管理三色笔记:覆盖全书重点,精准分层2026-03-22
- 2026中级会计经济法全书知识点名称+对应分值汇总,背题抓分不盲目2026-03-21
- 26年中级会计实务各章节重点+思维导图,可直接下载!备考省80%时间2026-03-20
- 2026中级会计经济法:知识点+分值速览(免费下载,高效抓分)2026-03-20



