中级会计职称《中级财务管理》第六章:收入管理
收入管理
一、销售预测分析
广义的企业收入是指企业因销售商品、提供劳务、转让资产使用权所取得的各种收入的总称。
本节所指收入主要指销售收入,即企业在日常经营活动中,由于销售产品、提供劳务等所形成的收入。
销售收入大小的制约因素主要是产品的销售数量和销售价格,因此,企业在经营管理过程中一定要做好销售预测分析以及销售定价管理。
(一)销售预测分析含义
指通过市场调查,以有关的历史资料和各种信息为基础,运用科学的预测方法或管理人员的实际经验,对企业产品在计划期间的销售量或销售额作出预计或估量的过程。
(二)方法分类(按照是否采用数学方法分类)
|
类别 |
含义 |
类别 |
适用对象 |
|
定性分析法 |
非数量分析法,是指由专业人员根据实际经验,对预测对象的未来情况及发展趋势作出预测的一种分析方法 |
①推销员判断法 |
适用于预测对象的历史资料不完备或无法进行定量分析 |
|
定量分析法 |
也称数量分析法,运用一定的数学方法,建立预测模型,作出预测。 |
①趋势预测分析法 |
预测对象有完备的有关资料 |
(三)销售预测的定性分析法
1.推销员判断法
(1)含义
又称意见汇集法,是由企业熟悉市场情况及相关变化信息的经营管理人员对由推销人员调查得来的结果进行综合分析,从而作出较为正确预测的方法。
(2)优点
用时短、耗费小,比较实用
2.老师判断法
(1)含义
由老师根据他们的经验和判断能力对特定产品的未来销售量进行判断和预测的方法
(2)分类
3.产品寿命周期分析法(其他预测分析方法的补充)
产品寿命周期是指产品从投入市场到退出市场所经历的时间,一般要经过萌芽期、成长期、成熟期和衰退期四个阶段。
利用产品销售量在不同寿命周期阶段上的变化趋势,进行销售预测的一种定性分析方法。它是对其他预测分析方法的补充。
(四)销售预测的定量分析法
1.趋势预测分析法
(1)含义
趋势预测分析法也称作时间数列预测分析法。所谓时间数列(Time Series)就是指按照发生时间顺序排列起来的同一变量的一组观测值。
这种方法假设事物的发展具有一定的连贯性,一定的事物过去随时间而发展变化的趋势,也是今后该事物随时间而发展变化的趋势。
(2)常用方法
①算术平均法与加权平均法
②移动平均法及修正移动平均法
③指数平滑法
2.因果预测分析法
(1)含义
指通过影响产品销售量(因变量)的相关因素(自变量)以及它们之间的函数关系,并利用这种函数关系进行产品销售预测的方法。
因果预测分析法最常用的是回归分析法
(2)回归直线法(一元回归分析法)
【注意】该方法在第三章第五节的资金习性预测法中讲授过,只不过此处的x是某与销售量有因果关系的驱动因素,而y是销售量。
①假设及原理:
假定影响预测对象销售量的因素只有一个,根据直线方程式y=a+bx;按照最小二乘法原理,来确定一条误差最小的、能正确反映自变量x和因变量y之间关系的直线
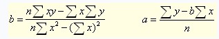
②计算过程
先计算a和b

③预测销售量
带a、b的值入y=a+bx,结合自变量x的取值,即可求得预测对象y的预测销售量或销售额。
二、销售定价管理
(一)销售定价管理的含义
销售定价管理是指在调查分析的基础上,选用合适的产品定价方法,为销售的产品制定最为恰当的售价,并根据具体情况运用不同价格策略,以实现经济效益最大化的过程。
(二)影响产品价格的因素
(三)产品定价方法(以成本为基础的定价方法和以市场需求为基础的定价方法)
1.以成本为基础的定价方法(只关注企业成本状况而不考虑市场需求状况)
(1)三种成本概念
|
|
含义 |
构成 |
作为定价的优劣 |
|
完全成本 |
企业为生产、销售一定种类和数量的产品所发生的所有成本和费用总额 |
制造成本和管理费用、销售费用及财务费用等各种期间费用 |
既可以保证简单再生产的正常进行,又可使劳动者为社会劳动所创造的价值得以全部实现。 |
|
制造成本 |
指企业为生产产品或提供劳务等发生的直接费用支出 |
直接材料、直接人工和制造费用 |
不包括各种期间费用,所以制造成本定价不利于企业简单再生产的继续进行 |
|
变动成本 |
在特定的业务量范围内,其总额会随业务量的变动而变动的成本 |
变动制造成本和变动期间费用 |
作为增量产量的定价依据 |
【注意】
变动成本有两类,一类指的就是变动制造费用,还有一类是变动制造成本和变动期间费用的合计,在变动成本为基础的定价法中,变动成本指的是后者。
(2)以成本为基础的定价方法
①完全成本加成定价法
②保本点定价法和目标利润法
③变动成本定价法
2.以市场需求为基础的定价方法(不考虑成本,只考虑市场对价格接受程度)
(1)需求价格弹性系数定价法
(2)边际分析定价法
(四)价格运用策略
最新资讯
- 2026中级会计备考资料包+考试日程+报考时间,三合一汇总,备考必看2026-04-30
- 2026中级会计三科高频考点+三色笔记,全书重点汇总,备考直接用2026-04-30
- 2026中级会计高频考点三色笔记已打包,搭配科目技巧,现在背还来得及2026-04-24
- 救命!2026中级会计经济法速记口诀50条,背会直接拿捏法条2026-03-24
- 2026中级会计经济法速记口诀50条|可下载打印,法条速记不费脑2026-03-23
- 2026中级会计财务管理速记口诀50条(可下载),公式/考点秒记,告别死背2026-03-23
- 2026中级会计财务管理100母题汇总(可下载打印),公式+真题同源,高效提分2026-03-23
- 2026中级会计经济法100母题汇总(可下载+含解析),背会稳冲60+2026-03-23
- 2026中级会计实务100母题汇总(可下载+含解析),吃透稳提20分2026-03-23
- 2026中级会计财务管理三色笔记:覆盖全书重点,精准分层2026-03-22


