2014年中级会计职称《中级财务管理》第二章:预期收益率确认
更新时间:2014-02-19 09:41:57
来源:|0
浏览
收藏
中级会计职称报名、考试、查分时间 免费短信提醒
摘要 2014年中级会计职称《中级财务管理》第二章:预期收益率确认也称为“期望收益率”、“收益率的期望值”,是指在不确定的条件下,预测的某资产未来可能实现的收益率。
2014年中级会计职称纸笔考试时间为10月25日、26日,为了让中级会计职称考生有更加充足的时间备考,环球网校精心为大家分享了中级会计职称考试《财务管理》科目的重要知识点,希望对广大考生有帮助。
预期收益率确认
预期收益率也称为“期望收益率”、“收益率的期望值”,是指在不确定的条件下,预测的某资产未来可能实现的收益率。
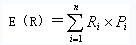
第一种方法――加权平均法
预期收益率

第二种方法――历史数据分组法
收集数据――数据分组――各组收益率――预期收益率
例如,假定收集了历史上的100个收益率的观测值,在这100个历史数据中,发生在“经济良好”情况下的有30个,发生在“一般”和“经济较差”情况下的各有50个和20个,那么可估计经济情况出现良好、一般和较差的概率分别为30%、50%和20%.然后,将经济良好情况下所有30个收益率观测值的平均值(假如为10%)作为经济良好情况下的收益率,同样,计算另两类经济情况下观测值的平均值(假如分别是8%和5%),那么,预期收益率=30%×10%+50%×8%+20%×5%=8%。
第三种方法――算术平均法
【提示】重点掌握第一种和第三种方法,前者关注未来,后者关注过去。
如果您在此过程中遇到任何疑问,请登录环球网校会计职称频道及论坛,随时与广大考生朋友们一起交流!
编辑推荐:
2014年中级会计职称《中级财务管理》第二章:资产收益率类型
编辑推荐
最新资讯
- 2026中级会计高频考点三色笔记已打包,搭配科目技巧,现在背还来得及2026-04-24
- 救命!2026中级会计经济法速记口诀50条,背会直接拿捏法条2026-03-24
- 2026中级会计经济法速记口诀50条|可下载打印,法条速记不费脑2026-03-23
- 2026中级会计财务管理速记口诀50条(可下载),公式/考点秒记,告别死背2026-03-23
- 2026中级会计财务管理100母题汇总(可下载打印),公式+真题同源,高效提分2026-03-23
- 2026中级会计经济法100母题汇总(可下载+含解析),背会稳冲60+2026-03-23
- 2026中级会计实务100母题汇总(可下载+含解析),吃透稳提20分2026-03-23
- 2026中级会计财务管理三色笔记:覆盖全书重点,精准分层2026-03-22
- 2026中级会计经济法全书知识点名称+对应分值汇总,背题抓分不盲目2026-03-21
- 26年中级会计实务各章节重点+思维导图,可直接下载!备考省80%时间2026-03-20