2014年中级会计职称《财务管理》考试大纲(第七章)
热点专题:教材领取
套餐推荐:老师团来袭 通关不难| 直播保过| 招生计划
>>中级会计职称考试 第七章营运资金管理
中级会计[基本要求]
(一)掌握信用政策决策和现金折扣决策的方法
(二)掌握最优存货量的确定方法
(三)熟悉现金目标余额的确定方法
(四)熟悉现金收支和应收账款日常管理
(五)熟悉流动负债管理
(六)了解营运资金的特点和管理原则
(七)了解营运资金管理策略
(八)了解现金持有的动机
(九)了解存货的功能、存货控制系统
[考试内容]
第一节 营运资金管理的主要内容
一、营运资金的特点
营运资金是指流动资产减去流动负债后的余额。营运资金的来源具有多样性、营运资金的数量具有波动性、营运资金的周转具有短期性、营运资金的实物形态具有变动性和易变现性。
二、营运资金的管理原则
保证合理的资金需求;提高资金使用效率;节约资金使用成本;保持足够的短期偿债能力。
三、营运资金管理策略
(一)流动资产的投资策略
企业必须选择与其业务需要和管理风格相符合的流动资产投资策略。可选择的流动资产投资策略包括:紧缩的流动资产投资策略、宽松的流动资产投资策略。
(二)流动资产的融资策略
如何进行永久性和波动性流动资产融资决策,决定了一个企业的营运资金融资策略。融资决策分析方法可以划分为:期限匹配融资策略、保守融资策略和激进融资策略。
第二节 现金管理
现金有广义、狭义之分。广义的现金是指在生产经营过程中以货币形态存在的资金,包括库存现金、银行存款和其他货币资金等。狭义的现金仅指库存现金。这里所讲的现金是指广义的现金。保持合理的现金水平是企业现金管理的重要内容。
一、持有现金的动机
持有现金是出于三种需求:交易性需求、预防性需求和投机性需求。
(一)交易性需求
交易性需求是指企业为了满足维持日常周转及正常商业活动的需要而持有一定数额的现金。
(二)预防性需求
预防性需求是指企业为了应付突发事件而持有一定数额的现金。
(三)投机性需求
投机性需求是指企业为了抓住突然出现的获利机会而持有一定数额的现金。
二、目标现金余额的确定
(一)成本模型
成本模型强调持有现金是有成本的,最优的现金持有量是使得现金持有成本最小化的持有量。通过分析现金的机会成本和短期成本,以两种成本之和最低时的现金持有量作为目标现金余额。
(二)存货模型
最佳现金持有量C*是机会成本线与交易成本线交叉点所对应的现金持有量,因此C*应当满足:
机会成本=交易成本,即(C*/2)×K=(T/C*)×F,即最佳现金持有量是:

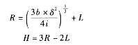
(三)随机模型
随机模型建立在企业的现金未来需求总量和收支不可预测的前提下,通过现金波动的最高限额、最低限额和现金回归线进行现金控制。其计算公式如下:

其中:b为证券转换为现金或现金转换为证券的成本,δ为公司每日现金流量变动的标准差,i为以日为基础计算的现金机会成本,R为回归线,H为上限,L为下限。
三、资金集中管理模式
通过资金的集中管理,统一筹集、合理分配、有序调度,能够降低融资成本,提高资金使用效率,确保集团战略目标的实现,实现整体利益的最大化。
资金集中管理模式可以分为以下几种:(1)统收统支模式;(2)拨付备用金模式;(3)结算中心模式;(4)内部银行模式;(5)财务公司模式。
四、现金收支日常管理
(一)现金周转期
现金周转期就是指介于公司支付现金与收到现金之间的时间段,也就是存货周转期与应收账款周转期之和减去应付账款周转期。
(二)收款管理
收款管理应关注收款成本和收款浮期。收款成本包括浮动期成本、管理收款系统的相关费用及第三方处理费用或清算相关费用。收款浮动期是指从支付开始到企业收到资金的时间间隔。
(三)付款管理
(1)使用现金浮游量;(2)推迟应付款的支付;(3)汇票代替支票;(4)改进员工工资支付模式;(5)透支;(6)争取现金流出与现金流入同步;(7)使用零余额账户。
第三节 应收账款管理
一、应收账款的功能
企业通过提供商业信用,采取赊销、分期付款等方式可以扩大销售,增强竞争力,获得利润。赊销增加销售,减少存货。赊销一般不增加固定成本,所增加的收益可以用下列公式计算:
增加的收益=增加的销售量×单位边际贡献
二、应收账款的成本
应收账款的成本主要有:应收账款的机会成本、应收账款的管理成本、应收账款的坏账成本。
三、应收账款的管理目标
企业发生应收账款的主要原因是扩大销售,增强竞争力,其管理目标就是增加利润。这就需要在应收账款信用政策所增加的盈利和这种政策的成本费用之间做出权衡。
四、信用政策
信用政策包括信用标准、信用条件和收账政策。
(一)信用标准
信用标准是指信用申请者获得企业提供信用所必须达到的最低信用水平,通常以预期的坏账损失率作为判别标准。信用标准的制定是建立在对客户信用评价的基础上的。信用评价方法包括定性分析和定量分析两类。
(二)信用条件
信用条件是销货企业要求赊购客户支付货款的条件,由信用期间、折扣期限和现金折扣三个要素组成。信用期间是企业允许顾客从购货到付款之间的时间,信用期的确定,主要是分析改变现行信用期对收入和成本的影响。现金折扣是企业对顾客在商品价格上的扣减,主要目的在于吸引顾客为享受优惠而提前付款,缩短企业的平均收款期。另外,现金折扣也能招揽一些视折扣为减价出售的顾客前来购货,借此扩大销售量。
(三)收账政策
收账政策是指信用条件被违反时,企业采取的收账策略。企业如果采取较积极的收账政策,可能会减少应收账款投资,减少坏账损失,但要增加收账成本。如果采用较消极的收账政策,则可能会增加应收账款投资,增加坏账损失,但会减少收账费用。企业需要做出适当的权衡。
五、应收账款的监控
公司监督和控制每一笔应收账款和应收账款总额对实施信用政策都是重要的。
(一)应收账款周转天数
将应收账款周转天数(平均收账期)与信用期比较是衡量应收账款管理状况的一种方法。
(二)账龄分析表
账龄分析表将应收账款划分为未到信用期的应收账款和以30天为间隔的逾期应收账款,这是衡量应收账款管理状况的另外一种方法。
(二)应收账款账户余额的模式
应收账款账户余额的模式反映一定期间(如一个月)的赊销额在发生赊销的当月月末及随后的各月仍未偿还的百分比。
(四)ABC分析法
ABC分析法是现代经济管理中广泛应用的一种“抓重点、照顾一般”的管理方法,又称重点管理法。它是将企业的所有欠款客户按其金额的多少进行分类排队,然后分别采用不同的收账策略的一种方法。
六、应收账款日常管理
应收账款的日常管理工作主要包括对客户的信用调查和分析评价、应收账款的催收和保理工作。
应收账款保理的作用主要包括:(1)融资功能;(2)减轻企业应收账款的管理负担;(3)减少坏账损失、降低经营风险;(4)改善企业的财务结构。
如果您在此过程中遇到任何疑问,请登录环球网校会计职称频道及论坛,随时与广大考生朋友们一起交流!

最新资讯
- 2026中级会计职称考试教材什么时候上市2025-12-04
- 2026年中级会计考试大纲什么时候出来:预计26年4月2025-11-17
- 2026年中级会计考试大纲什么时候发布,如何有效利用考试大纲2025-11-10
- 2026中级会计《经济法》教材变动大吗?如何备考2025-11-10
- 2026年中级会计考试大纲出来了吗2025-10-09
- 2025年中级经济法教材页码、教材目录及教材章节变化发布,页码最少2025-04-25
- 2025年中级会计实务教材明显变化章节:第25章修改、补充、删除内容2025-04-25
- 2025年中级会计师《中级会计实务》教材共25章,516页,难度较大,附各章具体变化2025-04-25
- 2025年中级会计财务管理大纲变动:增加了“总成本模型”2025-04-16
- 2025年中级会计经济法大纲变动:删除了“信托法律制度”2025-04-16