2013年安全工程师《管理知识》强化训练题第九套
第 1 题 (单项选择题)
在高速运转的机械飞轮外部安装防护罩的安全技术措施是()。
A.隔离
B.设置薄弱环节
C.限制能量
D.个体防护
正确答案:A,
第 2 题 (单项选择题)
导致事故发生的原因有多种类型,事故的直接原因主要是由物的不安全状态和()导致。
A.无操作规程
B.劳动组织不合理
C.对工人培训不到位
D.人的不安全行为
正确答案:D,
第 3 题 (单项选择题)
某生产经营单位2005年总产值8 000万元,因生产性事故造成的经济损失l60万元,则该单位百万元产值经济损失率是()。
A.2
B.0.2
C.20
D.5
正确答案:A,
第 4 题 (单项选择题)
事故应急预案明确了在突发事故发生之前、发生过程中及结束后,谁负责做什么,何时做。现场事故应急预案由企业负责制定,而场外事故应急预案由()制定。
A.科研机构
B.评价机构
C.公安机关
D.政府主管部门
正确答案:D,
第 5 题 (单项选择题)
有害气体一般分为窒息性气体和刺激性气体。下列属于刺激性气体的是()。
A.一氧化碳
B.氨气
C.乙炔
D.二氧化碳
正确答案:B,
第 6 题 (单项选择题)
一般来说,重大危险源的风险分析评价不包括()。
A.制定安全管理制度
B.依次评价已辨识的危险事件发生的概率
C.评价危险事件的后果
D.进行风险评价
正确答案:A,
第 7 题 (单项选择题)
下列选项中,不属于预警评价指标的构建应遵循的原则是()。
A.科学性
B.引导性
C.预防性
D.灵敏性
正确答案:C,
第 8 题 (单项选择题)
诊断活动和评价活动是()的分析过程。
A.物质组成
B.技术性
C.能量性
D.安全等级
正确答案:B,
第 9 题 (单项选择题)
()是管理体系建立的保证。
A.安全监督人员
B.安全检查人员
C.安全规则制定人员
D.管理层培训
正确答案:D,
第 10 题 (单项选择题)
所有在中华人民共和国领域内从事生产经营活动的单位,凡有关涉及安全生产方面的工作,都必须接受统一的监督管理,履行()所规定的职责。
A.《建筑法》
B.《劳动法》
C.《煤矿安全监察条例》
D.《安全生产法》
正确答案:D,
第 11 题 (单项选择题)
根据《生产过程危险和有害因素分类与代码》(GB/T l3861―1992),下列危险和有害因素属于行为性危险和有害因素的是()。
A.作业环境不良
B.健康状况异常
C.信号错误
D.指挥错误
正确答案:D,
第 12 题 (单项选择题)
根据《安全生产法》的规定,矿山、建筑施工单位和危险物品的生产、经营、储存单位,以及从业人员超过300人的其他生产经营单位,必须配备()。
A.兼职的安全生产管理人员
B.临时的安全生产管理人员
C.专职的安全生产管理人员
D.具有国家规定的相关专业技术资格的工程技术人员
正确答案:C,
第 13 题 (单项选择题)
()是在发展事件树的过程中,将与初始事件、事故无关的安全功能和安全功能不协调、矛盾的情况省略、删除,达到简化分析的目的。
A.分析事件树
B.简化事件树
C.完善事件树
D.画出事件树
正确答案:B,
第 14 题 (单项选择题)
依据《安全生产违法行为行政处罚办法》的规定,安全生产违法行为轻微并及时纠正,没有造成危害后果的,()处罚。
A.从轻
B.减轻
C.不予
D.减免
正确答案:C,
第 15 题 (单项选择题)
职业健康安全管理体系是职业健康安全管理的一种方式。对于尚未建立职业健康安全管理体系的生产经营单位,()可作为其建立职业健康安全管理体系的基础。
A.初始评审
B.体系策划
C.体系培训
D.体系文件编写
正确答案:A,
第 16 题 (单项选择题)
《职业病危害项目申报管理办法》规定,用人单位的新建、改建、扩建、技术改造、技术引进项目,应当在竣工验收之日起()日内申报职业病危害项目。
A.10
B.20
C.25
D.30
正确答案:D,
第 17 题 (单项选择题)
()是把人体与意外释放能量或危险物质等隔开,是一种不得已的隔离措施,但确是保护人身安全的最后一道防线。
A.避难与救援
B.减少故障和失误
C.设置薄弱环节
D.个体防护
正确答案:D,
第 18 题 (单项选择题)
预警信号有四种级别(Ⅳ、Ⅲ、Ⅱ、Ⅰ级),其中Ⅳ级预警信号表示()
A.生产活动处于正常状态
B.处于事故的上升阶段
C.受到事故的严重威胁
D.安全状况特别严重
正确答案:A,
第 19 题 (单项选择题)
安全评价过程中,在对系统危险、有害因素辨识的基础上,进行系统的单元划分是安全评价工作不可缺少的环节,单元划分的原则是以()为主。
A.事故类别
B.装置、物质特征和生产工艺
C.企业生产各个部门
D.重大危险源
正确答案:B,
第 20 题 (单项选择题)
(),是根据生产安全事故造成的人员伤亡或者直接经济损失严重程度划分的事故等级。
A.生产安全事故报告
B.生产安全事故等级
C.生产安全事故管理人员
D.生产安全事故发生几率
正确答案:B,
第 21 题 (单项选择题)
《职业病报告办法》规定,尘肺病患者死亡后,由死者所在单位填写《尘肺病报告卡》,在()日内报所在地的卫生监督机构。
A.5
B.7
C.15
D.30
正确答案:C,
第 22 题 (单项选择题)
《安全生产法》在总结我国安全生产管理经验的基础上,将()规定为我国安全生产工作的基本方针。
A.以人为本、持续改进
B.安全第一、保证安全
C.质量第一、预防为主
D.安全第一、预防为主
正确答案:D,
第 23 题 (单项选择题)
在每年年度终了后()内,省级安全生产监督管理部门及同级财政部门要将上年度本地区风险抵押金存储、使用、管理等有关情况报国家安全生产监督管理总局及财政部。
A.1个月
B.30日
C.45 日
D.3个月
正确答案:D,
第 24 题 (单项选择题)
某电子公司现有从业人员251人,公司已经同有资质的中介公司签订了安全生产管理服务委托合同,中介公司委派安全工程技术人员提供安全生产管理服务。电子公司安全生产的责任应由()负责。
A.电子公司
B.中介公司
C.岗位工人
D.中介公司的安全工程技术人员
正确答案:A,
第 25 题 (单项选择题)
根据预警指标的内在特点和对指标信息的掌握程度,可以采取的预警方法是()。
A.指标预警、因素预警、综合预警
B.指数预警、单项预警、综合预警
C.简单预警、复杂预警、因素预警
D.指标预警、因素预警、复杂预警
正确答案:A,
第 26 题 (单项选择题)
在某种合同要求的情况下,由与用人单位有某种利益关系的相关方或由其他人员以相关方的名义实施的审核是()。
A.第一方审核
B.第二方审核
C.第三方审核
D.内部审核
正确答案:B,
第 27 题 (单项选择题)
尘肺病患者死亡后,由死者所在单位填写《尘肺病报告卡》,在()日内报所在地的卫生监督机构。
A.7
B.15
C.30
D.45
正确答案:B,
第 28 题 (单项选择题)
安全验收评价是在工程项目的()进行。
A.设计阶段
B.建设项目投入使用后
C.建设项目竣工,试生产运行正常后
D.正式投产后
正确答案:C,
第 29 题 (单项选择题)
安全生产责任追究是国家法律规定的一项法定制度,根据责任人员在事故中承担责任的不同,分为直接责任者、主要责任者和()。
A.间接责任者
B.领导责任者
C.次要责任者
D.重要责任者
正确答案:B,
第 30 题 (单项选择题)
统计资料的类型中,计数资料的特点是()。
A.有度量衡单位、可通过测量得到、多为连续性资料
B.没有度量衡单位、通过列举或记数得来、多为间断性资料
C.每一个观察单位没有确切值,各组之间有性质上的差别或程度上的不同
D.将全体观测单位按照某种性质或特征分组,然后再分别清点各组观察单位的个数
正确答案:B,
第 31 题 (单项选择题)
预警信号一般采用国际通用颜色表示不同的安全状况,对于预警管理活动,()应用价值最大。
A.蓝色和黄色
B.蓝色和橙色
C.蓝色和红色
D.红色和橙色
正确答案:A,
第 32 题 (单项选择题)
导致事故的生物性危险和有害因素的是()。
A.高温物质
B.有毒物质
C.心理异常
D.致病微生物
正确答案:D,
第 33 题 (单项选择题)
安全验收评价单元的划分应符合科学、合理的原则。具体划分时应考虑:法律法规等方面的符合性;设施、设备、装置及工艺方面的安全性;();公用工程、辅助设施配套性;周边环境适应性和应急救援有效性;人员管理和安全培训方面充分性等方面。
A.危险有害因素分布的规律性
B.物料、产品的安全性
C.自然条件的特殊性
D.平面布局的合理性
正确答案:B,
第 34 题 (单项选择题)
《企业职工伤亡事故分类标准》(GB 6441--1986)将企业工伤事故分为20类。下列事故中,不属于该20类工伤事故的是()。
A.物体打击
B.淹溺
C.尘肺病
D.瓦斯爆炸
正确答案:C,
第 35 题 (单项选择题)
生产经营单位对农民工每年必须接受再培训、培训时间不得少于()学时。
A.8
B.24
C.36
D.72
正确答案:A,
第 36 题 (单项选择题)
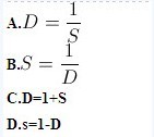
在系统工程的安全概念中安全性(s)与危险性(D)的关系为()。

正确答案:D,
第 37 题 (单项选择题)
职业性危害因素是指()。
A.劳动者在职业活动中,接触粉尘、放射性物质和其他有毒有害物质等因素而引起的疾病
B.在生产过程中、劳动过程中、作业环境中存在的危害从业人员健康的因素
C.生产过程中生产或使用的有毒物质
D.与职业有关的能引起肿瘤的因素
正确答案:B,
第 38 题 (单项选择题)
特别重大事故在特殊情况下,批复时间可以适当延长,但延长的时间最长不超过()日。
A.30
B.60
C.40
D.50
正确答案:A,
第 39 题 (单项选择题)
《安全生产法》规定了生产经营单位必须为从业人员提供符合国家标准或者()的劳动保护用品,并监督、教育从业人员按照使用规则佩戴、使用。
A.国际标准
B.地方标准
C.企业标准
D.行业标准
正确答案:D,
第 40 题 (单项选择题)
随机抽样是指按()的原则从总体中获取样本的方法,以避免研究者有意或无意地选择样本而带来偏性。
A.偶然
B.随机
C.可能性
D.重点突出
正确答案:B,
第 41 题 (单项选择题)
导致事故的行为性危险和有害因素不包括()。
A.指挥错误
B.操作错误
C.监护失误
D.辨识功能缺陷
正确答案:D,
第 42 题 (单项选择题)
四氯化碳可经呼吸道、消化道及皮肤吸收,对人毒性极强,误服()ml即可中毒。
A.2~3
B.1~3
C.2~4
D.3~4
正确答案:A,
第 43 题 (单项选择题)
我国伤亡事故统计是一项经常性的统计工作,采用(),下级按照国家制定的报表制度,逐级将伤亡事故报表上报。
A.报告法
B.直接法
C.加权法
D.算数平均法
正确答案:A,
第 44 题 (单项选择题)
()是负责煤矿安全监察工作的行政执法机构,依法对煤矿安全履行国家监察职责。
A.公安部
B.国家安全生产监督管理总局
C.卫生部
D.煤矿安全监察机构
正确答案:D,
第 45 题 (单项选择题)
职业健康安全管理体系文件应以适合于()的形式予以建立与保持。
A.经济发展
B.企业规模
C.企业实际特点
D.自身管理
正确答案:D,
第 46 题 (单项选择题)
造成人的不安全行为和物的不安全状态的原因可以采取3种防止对策,即()。
A.工程技术对策、教育对策和法律对策
B.工程技术对策、法律对策和法制对策
C.管理对策、教育对策和法制对策
D.工程技术对策、教育对策和法制对策
正确答案:D,
第 47 题 (单项选择题)
《职业病危害项目申报管理办法》规定,用人单位的新建、改建、扩建、技术改造、技术引进项目,应当在竣工验收之日起()日内申报职业病危害项目
A.20
B.30
C.10
D.5
正确答案:B,
第 48 题 (单项选择题)
煤矿安全监察人员代表国家履行煤矿安全监察职责,具有明确的法律地位和职责范围。下列内容中,属于煤矿安全监察人员职责的是()。
A.组织煤矿安全技术措施的制定和落实
B.负责煤矿安全措施费用的提取和使用
C.参与建设工程安全设施设计审查和竣工验收
D.制定安全目标管理制度和操作规程
正确答案:C,
第 49 题 (单项选择题)
职业健康安全管理体系培训的对象主要分()层次。
A.管理层培训、内审员培训和全体员工的培训
B.管理层培训、外审员培训和全体员工的培训
C.决策层培训、外审员培训和全体员工的培训
D.决策层培训、内审员培训和全体员工的培训
正确答案:A,
第 50 题 (单项选择题)
某矿井发生塌陷,造成4人死亡,7人重伤,根据《生产安全事故报告和调查处理条例》规定,该生产安全事故属于()。
A.一般事故
B.较大事故
C.重大事故
D.特别重大事故
正确答案:B,
第 51 题 (单项选择题)
事故统计指标体系中,不属于水上交通事故统计指标的是()。
A.特别重大事故死亡人数
B.沉船艘数
C.百万机车总走行公里死亡率
D.千艘船事故率
正确答案:C,
第 52 题 (单项选择题)
重大事故的应急救援工作危险性极大,在编制应急预案时必须对应急人员自身的安全问题进行周密的考虑,制定()程序的主要目的是保证应急人员的安全。
A.危险物质泄漏控制
B.现场警戒和交通管制
C.出入现场和紧急撤离
D.应急信息的审核和批准
正确答案:C,
第 53 题 (单项选择题)
1989年,我国颁布了《劳动防护用品选用的规则》(GB 11651―1989)国家标准,为选用劳动防护用品提供了依据,下列选项中,不属于选用劳动防护用品基本原则的是()。
A.根据国家标准、行业标准或地方标准选用
B.生产经营单位必须为从业人员提供符合国家标准或者行业标准的劳动防护用品,并监督、教育从业人员按照使用规则佩戴、使用
C.根据生产作业环境、劳动强度以及生产岗位接触有害因素的存在形式、性质、浓度(或强度)和防护用品的防护性能进行选用
D.穿戴要舒适方便,不影响工作
正确答案:B,
第 54 题 (单项选择题)
以下属于物体打击伤害的选项是()。
A.员工从高处坠落,坠落过程中撞击到脚手架导致死亡
B.员工的上肢卷入机床的齿轮中,造成的伤害
C.脚手架上坠落的钢筋打击员工头部,导致其死亡
D.建筑物坍塌,员工被水泥板砸伤
正确答案:C,
第 55 题 (单项选择题)
()系统是集计算机技术与老师系统技术为一体的智能化系统,是以管理信息系统为基础,完成信息收集、处理、辨识、存储和推断等任务。
A.质量管理预警系统
B.外部环境预警系统
C.预警信息管理
D.内部管理不良的预警系统
正确答案:C,
第 56 题 (单项选择题)
下列事故中,()上报至设区的市级人民政府安全生产监督管理部门和负有安全生产监督管理职责的有关部门。
A.特别重大事故
B.重大事故
C.较大事故
D.一般事故
正确答案:D,
第 57 题 (单项选择题)
根据系统安全工程的观点,危险是指系统中存在发生不期望后果的可能性超过了人们的承受程度。一般用危险度来表示危险的程度。在安全生产管理中,危险度通常由()决定。
A.事故发生的可能性和事故的类别
B.事故严重性和影响范围
C.事故发生的可能性和事故后果的严重性
D.事故的严重性和事故发生后的应急救援能力
正确答案:C,
第 58 题 (单项选择题)
根据规定,()接到事故报告后,应当立即启动事故应急预案,或者采取有效措施,组织抢救,防止事故扩大,减少人员伤亡和财产损失。
A.事故发生地有关地方人民政府
B.安全生产监督管理部门
C.负有安全生产监督管理职责的有关部门
D.事故发生单位负责人
正确答案:D,
第 59 题 (单项选择题)
应急预案的演练类型中,()一般要求持续几个小时,采取交互式方式进行,演练过程要求尽量真实,调用更多的应急人员和资源,并开展人员、设备及其他资源的实战性演练,以检验相互协调的应急响应能力。
A.全面演练
B.功能演练
C.桌面演练
D.室内演练
正确答案:A,
第 60 题 (单项选择题)
职工原在军队服役,因战、因公负伤致残,已取得革命伤残军人证,到用人单位后旧伤复发的,按照《工伤保险条例》享受除()以外的工伤保险待遇。
A.工伤医疗待遇
B.工伤津贴待遇
C.工伤护理费
D.一次性伤残补助金
正确答案:D,
第 61 题 (单项选择题)
根据国家有关规定,下列类型的企业中,不属于强制提取安全生产费用的是()。
A.矿山企业
B.建筑施工企业
C.烟花爆竹生产企业
D.汽车制造企业
正确答案:D,
第 62 题 (单项选择题)
相对于指标预警的一种定性预警方法是()。
A.因素预警
B.综合预警
C.动态预警
D.概率预警
正确答案:A,
第 63 题 (单项选择题)
安全生产管理的目标是减少和控制(),减少和控制(),尽量避免生产过程中由于事故所造成的人身伤害、财产损失、环境污染以及其他损失。
A.危险;不安全行为
B.危险;事故
C.不安全状态;事故
D.危害;事故
正确答案:D,
第 64 题 (单项选择题)
根据《生产安全事故报告和调查处理条例》(国务院令第493号),重大事故应当逐级上报至()安全生产监督管理部门和负有安全生产监督管理职责的有关部门。
A.国务院
B.省、自治区、直辖市人民政府
C.设区的市级人民政府
D.县级人民政府
正确答案:A,
第 65 题 (单项选择题)
某采石场工地作业场所存在白云石粉尘和大理石粉尘。测得两种粉尘的总粉尘浓度分别是8 mg/和10 mg/,两种粉尘相应的容许浓度限值均是1o mg/,则该作业场所()。
A.总粉尘未超过接触限值
B.总粉尘超过接触限值
C.满足Ⅱ级危害程度
D.具有爆炸危险
正确答案:B,
第 66 题 (单项选择题)
下列不属于预警评价指标的构建所要遵循的原则的选项是()。
A.严密性
B.灵敏性
C.引导性
D.预见性
正确答案:A,
第 67 题 (单项选择题)
在识别危险方面,定性和半定量的评估是非常有价值的,但是因为不能提供足够的定量分析,所以必须能够提供完全的()。
A.定量的计算和评价
B.安全风险防范规则
C.安全风险防范能力
D.安全检查
正确答案:A,
第 68 题 (单项选择题)
国务院主管安全生产综合监督管理的直属机构是()。
A.安全生产委员会
B.国务院安全生产委员会办公室
C.国家安全生产监督管理总局
D.国家煤矿安全监察局
正确答案:C,
第 69 题 (单项选择题)
根据国家有关规定,下列类型的企业中,不属于强制提取安全生产费用的是()。
A.矿山企业
B.建筑施工企业
C.烟花爆竹生产企业
D.汽车制造企业
正确答案:D,
第 70 题 (单项选择题)
引起事故的()通常是一种或多种不安全行为、不安全状态或两者共同作用的结果。
A.直接原因
B.间接原因
C.直接责任人
D.因素
正确答案:A,
第 71 题 (多项选择题)
《国家突发公共事件总体应急预案》将突发公共事件分为()。
A.事故灾难
B.自然灾害
C.人为灾害
D.社会安全事件
E.公共卫生事件
正确答案:A,B,D,E,
第 72 题 (多项选择题)
预测系统的功能是进行必要的未来预测主要包括()。
A.对相关因素的相互影响进行预测
B.对征兆信息的可能结果进行预测
C.对现有信息的趋势预测
D.对导致事故发生的人、机、环、管等方面的因素进行预测
E.对偶发事件的发生概率、发生时间、持续时间、作用高峰期以及预期影响进行预测
正确答案:A,B,C,E,
第 73 题 (多项选择题)
生产经营单位管理者代表的工作任务有()。
A.建立、实施、保持和评审职业健康安全管理体系
B.定期向最高管理层报告职业健康安全管理体系的绩效
C.推动企业全体员工参加职业健康安全管理活动
D.职业健康安全管理方案与实施程序的制定与评审
E.事故事件的调查及现场职业健康安全检查
正确答案:A,B,C,
第 74 题 (多项选择题)
由于机器转动、气体排放、工件撞击与摩擦等所产生的噪声,称为生产性噪声或工业噪声。噪声可分为()。
A.生产性噪声
B.工业性噪声
C.电磁性噪声
D.机械性噪声
E.空气动力噪声
正确答案:C,D,E,
第 75 题 (多项选择题)
下列职责中,属于地方煤矿安全监管机构主要履行的职责是()。
A.监督煤矿企业事故隐患的整改并组织复查
B.依法组织关闭不具备安全生产条件的矿井
C.负责组织煤矿安全专项整治
D.参与煤矿事故调查处理
E.组织煤矿安全事故的调查处理
正确答案:A,B,C,D,
第 76 题 (多项选择题)
在申请方具备职业健康安全管理体系认证的条件后,认证机构应就申请方提出的条件和要求进行评审,确保()。
A.认证机构的各项要求规定的明确,形成文件并得到理解
B.认证机构与申请方之间在理解上的差异得到充分的理解
C.若认证机构有能力实施对申请方认证,双方则可签订认证合同
D.审核方应对其纠正措施的落实和有效性进行跟踪验证
E.审核通过后要给受审单位颁发认证证书和认证标志
正确答案:A,B,C,
第 77 题 (多项选择题)
计量资料是指通过度量衡的方法,测量每一个观察单位的某项研究指标的量的大小,得到的一系列数据资料,包括()。
A.性质
B.特征
C.质量
D.规律
E.长度
正确答案:C,E,
第 78 题 (多项选择题)
应急演练的参与人员不包括()。
A.参演人员
B.控制人员
C.指挥人员
D.服务人员
E.观摩人员
正确答案:C,D,
第 79 题 (多项选择题)
安全评价管理对评价对象的要求是()。
A.法律法规、行政规章所规定的,存在事故隐患,可能造成伤亡事故的或其他有特殊要求的情况应进行安全评价,亦可根据实际需要自愿进行安全评价
B.应为安全评价机构创造必备的工作条件,如实提供所需的资料
C.安全评价机构与被评价单位存在投资咨询、工程设计、工程监理、工程咨询、物资供应等各种利益关系的,不得参与其关联项目的安全评价活动
D.任何部门和个人不得干预安全评价机构的正常活动,不得指定评价对象接受特定安全评价机构开展安全评价,不得以任何理由限制安全评价机构开展正常业务活动
E.同一对象的安全预评价和安全验收评价,应由不同的安全评价机构分别承担
正确答案:A,B,D,E,
第 80 题 (多项选择题)
安全生产教育的重要性包括()。
A.是安全生产顺利进行的重要保障
B.能够普及和提高员工的安全技术知识,增强安全操作技能
C.提高经营单位管理者及员工做好安全生产管理的责任感和自觉性
D.是减少事故发生的前提条件
E.可以减少从业人员人为失误
正确答案:B,C,E,
第 81 题 (多项选择题)
按照安全评价给出的定量结果的类别不同,定量安全评价方法可以分为()。
A.概率风险评价法
B.伤害(或破坏)范围评价法
C.危险指数评价法
D.设备故障率评价法
E.系统危险性评价法
正确答案:A,B,C,
第 82 题 (多项选择题)
《生产安全事故报告和调查处理条例》规定,发生()的,应逐级上报至国务院安全生产监督管理部门和负有安全生产监督管理职责的有关部门。
A.特别重大事故
B.重大事故
C.较大事故
D.一般事故
E.轻微事故
正确答案:A,B,
第 83 题 (多项选择题)
根据有关危害辨识、风险评价和风险控制策划的要求,生产经营单位在()时,要进行危害辨识和风险评价。
A.引进新设备
B.应用新技术
C.组织机构改变
D.使用新化学品
E.法人代表变更
正确答案:A,B,D,
第 84 题 (多项选择题)
可用于煤矿企业安全生产状况的事故统计指标有()。
A.事故死亡人数
B.损失工作日
C.百万吨死亡率
D.10万人死亡率
E.万车死亡率
正确答案:A,B,C,
第 85 题 (多项选择题)
“重大危险源辨识标准”不适用于()。
A.生产企业
B.核设施和加工放射性物质的工厂
C.军事设施
D.采掘业
E.危险物质的运输
正确答案:B,C,D,E,
编辑推荐:
最新资讯
- 可下载打印!2026年中级注安师基础自测卷免费领2026-03-09
- 2025年中级注册安全工程师《专业实务-其他安全》高频考点10题2025-09-30
- 2025年中级注册安全工程师《专业实务-道路运输安全》高频考点10题2025-09-30
- 2025年中级注册安全工程师《专业实务-煤矿安全》高频考点10题2025-09-23
- 2025年中级注册安全工程师《专业实务-矿山安全》高频考点10题2025-09-19
- 2025年中级注册安全工程师《专业实务-金属冶炼安全》高频考点10题2025-09-19
- 2025年中级注册安全工程师《专业实务-化工安全》高频考点10题2025-09-17
- 2025年中级注册安全工程师《专业实务-建筑施工安全》高频考点10题2025-09-10
- 2025年中级注安冲刺提分难?这套考前密卷助你拿分2025-09-10
- 2025年中级注册安全工程师强化阶段测试卷,限时免费获取2025-08-25