09年财务成本管理债券估价重点内容四
注册会计师考试《财务成本管理》债券估价,环球网校为了帮助广大学员更好的准备2009年注册会计师考试,为您提供整理本章的考试复习资料,并祝考试顺利!。
第三节 股票的价值
一、股票有关概念
1、股票价格:股票发行后上市买卖,其价格主要由预期股利和当时的市场利率决定,股票价格还受到整个经济环境变化和投资者心理等复杂因素的影响
2、股利:是公司对股东投资回报,是公司税后利润的一部分。
二、股票价值及股票收益率
股票价值???股票期望提供的所有未来收益的现值
股票的预期收益率??未来收益的现值等于购买价格的折现率
股票现金流入:股利收入和出售时的售价。
股票的内在价值是未来的现金流入的现值。
1、 基本模型
(1) 永远持有股票???股票价值为未来各年股利的现值合计
(2) 不永久持有,一段时间后出售???股票价值为未来各年股利现值合计+未来股票售价现值
2、 零成长模型???永须年金求现值
股票价值P0=D/RS
股票预期报酬率RS=D/ P0
3、 固定增长模型
P=
式中,Do为评价时已经发放的股利; g为股利每年的增长率;其他符号含义与基本公式相同。
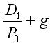
如果
>g,用D1表示预期第1年股利,则上式可简化为:
P=
注意:
(1)模型的条件:
>g,另外是期限无穷大。
(2)式子中, 指“最近刚刚支付的股利”, 指“预期股利”“下一年股利”等
(3)g可以根据可持续增长率来估计
(4)固定增长模型下
预期报酬率=
其中,
称为股利收益率
G可以理解为股价增长率或资本利得收益
总报酬率=股利收益率+资本利得收益率
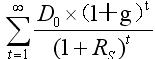
4.非固定成长股票的价值
P0=股利高速增长阶段现值+股利固定增长阶段现值或股利固定阶段现值
最新资讯
- 2026年注会《审计》50个速记口诀,再也不用死记硬背2025-12-08
- 免费领!2026年注册会计师6科学习打卡表,保姆级备考指导2025-12-05
- 2026年注会cpa《战略》学习打卡表,告诉你如何高效备考2025-12-04
- 不是死记硬背!2026版注会《经济法》学习打卡表,这样安排才高效2025-12-03
- 2026年注册会计师《税法》学习打卡表,告诉你税法该怎么学2025-12-03
- 上岸必看!2026年cpa《财务成本管理》学习计划表,省时省力2025-12-03
- 别再乱学了!2026年注会《审计》学习计划表,为你整理详细备考规划2025-12-03
- 2026年注册会计师《会计》学习计划表:各章节学习顺序及时长分配2025-12-03
- 【热门资料】注册会计师6科《三色笔记》免费领2025-11-18
- CPA《公司战略与风险管理》三色笔记,用颜色区分考点,省时省力2025-11-05


