2011注会《财务成本管理》辅导:第七章节(12)
更新时间:2011-01-20 09:16:57
来源:|0
浏览
收藏
注册会计师报名、考试、查分时间 免费短信提醒
二、债务和税收 $lesson$
1、利息税盾的估值
投资者从利息支付的税收抵扣中获得的收益称作利息税盾。
利息税盾=企业所得税税率×利息费用
有杠杆企业的现金流量=无杠杆企业的现金流量+利息税盾
据无套利定价理论:
有杠杆企业的价值VL=无杠杆企业的价值VU+PV(利息税盾)
教材258页【例7-10】
PV(利息税盾)=1000×25%×(P/A,5%,10)=250×7.7217=1930万元
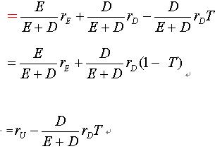
有税时的加权平均资本成本(税后加权平均资本成本)

2、维持目标债务与股权比率时的利息税盾
维持目标债务与股权比率时的利息税盾
=有杠杆企业价值-无杠杆企业价值
=用税后加权平均资本成本折现的企业价值-用税前加权平均资本成本折现的企业价值
教材259页【例7-11】
分析过程:
(1)有杠杆企业价值的计算

编辑推荐
最新资讯
- 快来打印!2026年注会六科全年学习打卡表.PDF版2025-12-12
- 2026年注会《审计》50个速记口诀,再也不用死记硬背2025-12-08
- 免费领!2026年注册会计师6科学习打卡表,保姆级备考指导2025-12-05
- 2026年注会cpa《战略》学习打卡表,告诉你如何高效备考2025-12-04
- 不是死记硬背!2026版注会《经济法》学习打卡表,这样安排才高效2025-12-03
- 2026年注册会计师《税法》学习打卡表,告诉你税法该怎么学2025-12-03
- 上岸必看!2026年cpa《财务成本管理》学习计划表,省时省力2025-12-03
- 别再乱学了!2026年注会《审计》学习计划表,为你整理详细备考规划2025-12-03
- 2026年注册会计师《会计》学习计划表:各章节学习顺序及时长分配2025-12-03
- 【热门资料】注册会计师6科《三色笔记》免费领2025-11-18


