财务成本管理 辅导讲义:资本结构决策(4)
更新时间:2011-09-23 09:15:43
来源:|0
浏览
收藏
注册会计师报名、考试、查分时间 免费短信提醒
二、债务和税收$lesson$
1、利息税盾的估值
投资者从利息支付的税收抵扣中获得的收益称作利息税盾。
利息税盾=企业所得税税率×利息费用
有杠杆企业的现金流量=无杠杆企业的现金流量+利息税盾
据无套利定价理论:
有杠杆企业的价值VL=无杠杆企业的价值VU+PV(利息税盾)
教材258页【例7-10】
PV(利息税盾)=1000×25%×(P/A,5%,10)=250×7.7217=1930万元
有税时的加权平均资本成本(税后加权平均资本成本)

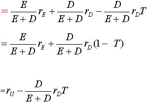
2、维持目标债务与股权比率时的利息税盾
维持目标债务与股权比率时的利息税盾
=有杠杆企业价值-无杠杆企业价值
=用税后加权平均资本成本折现的企业价值-用税前加权平均资本成本折现的企业价值
分析过程:
(1)有杠杆企业价值的计算

(2)无杠杆企业价值的计算

注会辅导六折七日免费试听
最新资讯
- 注册会计师三色笔记:核心知识点与记忆口诀解析2026-01-12
- 2026年注册会计师必背知识点:六科核心考点+记忆口诀大全2026-01-09
- 2026CPA会计学习计划:月度进度表与通关路径2026-01-09
- 2026年注册会计师经济法口诀,50个考点快速记忆2025-12-26
- 2026年注会会计科目各章节重点标注,客观题至少要拿到35分2025-12-25
- 2026年注册会计师备考资料包:三色笔记+记忆口诀+历年真题等2025-12-23
- 2026新版备考cpa各科日程表,零基础全年备考路线图2025-12-22
- 快来打印!2026年注会六科全年学习打卡表.PDF版2025-12-12
- 2026年注会《审计》50个速记口诀,再也不用死记硬背2025-12-08
- 免费领!2026年注册会计师6科学习打卡表,保姆级备考指导2025-12-05


