2012年财务成本管理 预习辅导:第三章节(7)
更新时间:2012-01-11 09:25:48
来源:|0
浏览
收藏
注册会计师报名、考试、查分时间 免费短信提醒
(三)折现率和期间的推算$lesson$
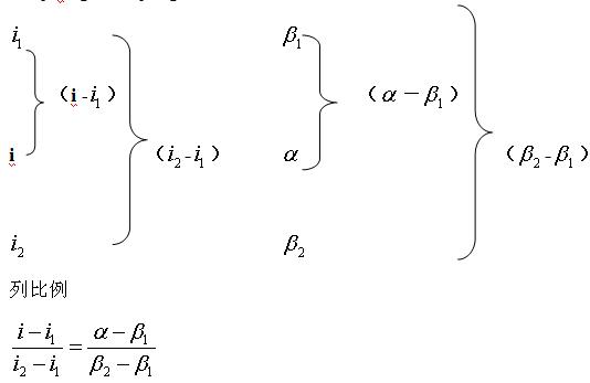
1、基本原理:资金时间价值计算公式含有四个要素(现值、终值、利率和期限),只要知道其中的三个,就可以推导出第四个。
2、内插法:实际上是列比例的方法。主要用来估计利率和期限。
求利率时,利率差之比等于系数差之比;
求期限时,期限差之比等于系数差之比。
例如:若所求的折现率为i,对应的年金现值系数为α;i1、i2分别为与i相邻的两个折现率
,且i1

注会辅导六折七日免费试听
编辑推荐
最新资讯
- 快来打印!2026年注会六科全年学习打卡表.PDF版2025-12-12
- 2026年注会《审计》50个速记口诀,再也不用死记硬背2025-12-08
- 免费领!2026年注册会计师6科学习打卡表,保姆级备考指导2025-12-05
- 2026年注会cpa《战略》学习打卡表,告诉你如何高效备考2025-12-04
- 不是死记硬背!2026版注会《经济法》学习打卡表,这样安排才高效2025-12-03
- 2026年注册会计师《税法》学习打卡表,告诉你税法该怎么学2025-12-03
- 上岸必看!2026年cpa《财务成本管理》学习计划表,省时省力2025-12-03
- 别再乱学了!2026年注会《审计》学习计划表,为你整理详细备考规划2025-12-03
- 2026年注册会计师《会计》学习计划表:各章节学习顺序及时长分配2025-12-03
- 【热门资料】注册会计师6科《三色笔记》免费领2025-11-18


