2012年财务成本管理 章节辅导:第五章(1)
第一节 债券估价$lesson$
一、债券的有关概念
项目定义
债券是发行者为筹集资金,向债权人发行的,在约定时间支付一定比例的利息,并在到期时偿还本金的一种有价证券。
债券
面值指设定的票面金额,它代表发行人借入并且承诺于未来某一特定日期偿付给债券持有人的金额,即到期还本额。
债券票面利率指债券发行者预计一年内向投资者支付的利息占票面金额的比率。票面利率不同于实际利率。实际利率通常是指按复利计算的一年期的利率。债券的计息和付息方式有多种,可能使用单利或复利计息,利息支付可能半年一次、一年一次或到期日一次总付,这就使得票面利率可能不等于实际利率。
债券的到期日指偿还本金的日期。债券一般都规定到期日,以便到期时归还本金。
二、债券的价值
(一)债券的估价模型
债券的价值是发行者按照合同规定从现在至债券到期日所支付的款项的现值。计算现值时使用的折现率,取决于当前的利率和现金流量的风险水平。
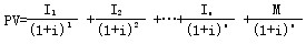
1、债券估价的基本模型
典型的债券是固定利率、每年计算并支付利息、到期归还本金。按照这种模式,债券价值计算的基本模型是:

式中:PV―债券价值;
I―每年的利息;
M―到期的本金;
i―折现率,一般采用当时的市场利率或投资人要求的必要报酬率;
n―债券到期前的年数。
2、其他模型
(1)平息债券
平息债券是指利息在到期时间内平均支付的债券。支付的频率可能是一年一次、半年一次或每季度一次等。
平息债券价值的计算公式如下:

【例5-2】有一债券面值为1 000元,票面利率为8%,每半年支付一次利息,5年到期。假设折现率为10%。
按惯例,报价利率为按年计算的名义利率,每半年计息时按年利率的二分之一计算,即按4%计息,每次支付40元。折现率按同样方法处理,每半年期的折现率按5%确定。该债券的价值为:
PV = ×(p/A,10%÷2,5×2)+1 000×(p/s,10%÷2,5×2)
= 40×7.7217+1 000×0.6139 = 308.87+613.90 = 922.77(元)
该债券的价值比每年付息一次时的价值(924.28元)降低了。债券付息期越短价值越低的现象,仅出现在折价出售的状态。如果债券溢价出售,则情况正好相反。
注会辅导六折七日免费试听
最新资讯
- 快来打印!2026年注会六科全年学习打卡表.PDF版2025-12-12
- 2026年注会《审计》50个速记口诀,再也不用死记硬背2025-12-08
- 免费领!2026年注册会计师6科学习打卡表,保姆级备考指导2025-12-05
- 2026年注会cpa《战略》学习打卡表,告诉你如何高效备考2025-12-04
- 不是死记硬背!2026版注会《经济法》学习打卡表,这样安排才高效2025-12-03
- 2026年注册会计师《税法》学习打卡表,告诉你税法该怎么学2025-12-03
- 上岸必看!2026年cpa《财务成本管理》学习计划表,省时省力2025-12-03
- 别再乱学了!2026年注会《审计》学习计划表,为你整理详细备考规划2025-12-03
- 2026年注册会计师《会计》学习计划表:各章节学习顺序及时长分配2025-12-03
- 【热门资料】注册会计师6科《三色笔记》免费领2025-11-18

