注册会计师考试《审计》知识点:审计抽样在细节测试中的运用
一、审计抽样在细节测试中的应用――非统计抽样
(一)定义总体:
(1)考虑总体的适当性和完整性。
(2)识别单个重大项目(超过可容忍错报应当单独测试的项目)和极不重要的项目。
在细节测试中计划抽样时,注册会计师应当运用职业判断,判断某类账户余额或交易类型中是否存在及存在哪些应该单独测试而不能放在抽样总体中的项目。注册会计师进行单独测试的所有项目都不构成抽样总体。
(二)选取样本阶段
1.确定样本规模
样本规模=总体账面金额(不包括100%检查)÷可容忍错报×保证系数
运用职业判断:
a评估重大错报风险,――〉用以确定系数
b确定可容忍错报,
c估计预计总体错报,
d评估其他实质性程序未能发现重大错报的风险,(最高、高、中、低)――〉用以确定系数
e剔除百分之百检查的项目后估计总体金额,
f调整确定样本规模,根据分层程度等因素,注册会计师可以调整10%-50%
保证系数
|
评估的重大错报风险 |
其他实质性程序未能发现重大错报的风险 | |||
|
最高 |
高 |
中 |
低 | |
|
最高 |
3.0 |
2.7 |
2.3 |
2.0 |
|
高 |
2.7 |
2.4 |
2.0 |
1.6 |
|
中 |
2.3 |
2.1 |
1.6 |
1.2 |
|
低 |
2.0 |
1.6 |
1.2 |
1.0 |
2.选取样本并对其实施审计程序
在非统计抽样方法中,注册会计师可以使用随机数表或计算机辅助审计技术选样、系统选样,也可以使用随意选样。
(三)评价样本结果阶段
比率法:比率估计法在错报金额与抽样单元金额相关时最为适用,是大多数审计抽样中注册会计师首选的总体推断方法。
样本错报/样本金额=总体错报/总体金额
差异法:适用于错报金额与抽样单元本身而不是与其金额相关的情况。
样本错报/样本规模=总体错报/总体规模
二、在细节测试中使用统计抽样
(一)传统变量抽样
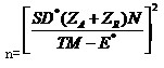
1. 初始样本规模

n――初始样本规模;
SD*――预先估计的标准差;
ZA――可接受的误受风险的置信系数(见表8-12 );
ZR――可接受的误拒风险的置信系数(见表8-12);
N――总体规模;
TM――总体可容忍错报(重要性);
E*――预计总体错报。
2.评价总体:均值估计抽样、差额估计抽样和比率估计抽样。
(1)均值估计抽样:样本审定/样本规模=总体审定/总体规模
(2)差额估计抽样:样本错报/样本规模=总体错报/总体规模
(3)比率估计抽样:样本审定/样本账面=总体审定/总体账面
【注意】
第一,如果未对总体进行分层,注册会计师通常不使用均值估计抽样;
第二,如果注册会计师决定使用统计抽样,且预计只发现少量差异,就不应使用比率估计抽样和差额估计抽样。
(二)概率比例规模抽样法(PPS)
应收账款总体表
|
总体项目(实物单元) |
账面金额(元) |
累计合计数 |
相关的货币单元 |
|
1 |
357 |
357 |
1~357 |
|
2 |
1281 |
1 638 |
358~1 638 |
|
3 |
60 |
1 698 |
1 639~1 698 |
|
4 |
573 |
2 271 |
1 699~2 271 |
|
5 |
691 |
2 962 |
2 272~2 962 |
|
6 |
1 43 |
3 1 05 |
2 963~3 1 05 |
|
7 |
1 425 |
4 530 |
3 1 06~4 530 |
|
8 |
278 |
4 808 |
4 53 1~4 808 |
|
9 |
942 |
5 750 |
4 809~5 750 |
|
10 |
826 |
6 576 |
5 75 1~6 576 |
|
11 |
404 |
6 980 |
6 577 6 980 |
|
12 |
396 |
7 376 |
6 981~7 376 |
1.PPS抽样的概念
(1)PPS抽样是一种运用属性抽样原理对货币金额而不是对发生率得出结论的统计抽样方法。
(2)PPS抽样以货币单位作为抽样单元进行选样的一种方法。
(3)在该方法下总体中的每个货币单位被选中的机会相同,所以总体中某一项目被选中的概率等于该项目的金额与总体金额的比率。 PPS抽样有助于注册会计师将审计重点放在较大的余额或交易。
注册会计师进行PPS抽样必须满足两个条件:第一,总体的错报率很低(低于10%),且总体规模在2000以上。这是PPS抽样使用的泊松分布的要求。第二,总体中任一项目的错报不能超过该项目的账面金额。
2.PPS抽样的优缺点
PPS抽样的优点包括下列方面:
(1)PPS抽样一般比传统变量抽样更易于使用。
(2)PPS抽样可以如同大海捞针一样发现极少量的大额错报。
(3)PPS抽样的样本规模无须考虑被审计金额的预计变异性。
(4)PPS抽样中项目被选取的概率与其货币金额大小成比例,因而生成的样本自动分层。在PPS抽样中,如果项目金额超过选样间距,PPS系统选样将自动识别所有单个重大项目。
(5)如果注册会计师预计错报不存在或很小,PPS抽样的样本规模通常比传统变量抽样方法更小。
(6)PPS抽样的样本更容易设计,且可在能够获得完整的总体之前开始选取样本。
PPS抽样的缺点包括下列方面:
(1)PPS抽样要求总体每一实物单元的错报金额不能超出其账面金额。
(2)在PPS抽样中,被低估的实物单元被选取的概率更低。PPS抽样不适用于测试低估。如果注册会计师在PPS抽样的样本中发现低估,在评价样本时需要特别考虑。
(3)对零余额或负余额的选取需要在设计时特别考虑。
(4)当总体中错报数量增加时,PPS抽样所需的样本规模也会增加。
(5)当发现错报时,如果风险水平一定,PPS抽样在评价样本时可能高估抽样风险的影响,从而导致注册会计师更可能拒绝一个可接受的总体账面金额。
(6)在PPS抽样中注册会计师通常需要逐个累计总体金额。
3.确定样本规模

4.选取样本
PPS抽样允许某一实物单元在样本中出现多次。
在前例中,如果随机数是6 586、1 756、856和6 599,则样本项目就是ll、4、2和1 1。项目11尽管只审计一次,但在统计上仍视为2个样本项目,样本中的项目总数也仍然是4个,因为样本涉及4个货币单元。
5.推断总体
(1)错报比例:t=错报金额/项目账面金额,然后从大到小排序
(2)查表找MF
(3)推断总体
基本界限= BV×MF0÷n×1
第1个错报所增加的错报上限=BV×(MF1-MF0)×t1÷n
第2个错报所增加的错报上限=BV×(MF2-MF1)×t2÷n
BV就是总体中包含的货币单元的数量。(就是抽样总体金额),MFx是给出泊松分布的发生频率。
2013年注册会计师考试招生简章 2012年注册会计师考试真题及答案汇总
最新资讯
- 快来打印!2026年注会六科全年学习打卡表.PDF版2025-12-12
- 2026年注会《审计》50个速记口诀,再也不用死记硬背2025-12-08
- 免费领!2026年注册会计师6科学习打卡表,保姆级备考指导2025-12-05
- 2026年注会cpa《战略》学习打卡表,告诉你如何高效备考2025-12-04
- 不是死记硬背!2026版注会《经济法》学习打卡表,这样安排才高效2025-12-03
- 2026年注册会计师《税法》学习打卡表,告诉你税法该怎么学2025-12-03
- 上岸必看!2026年cpa《财务成本管理》学习计划表,省时省力2025-12-03
- 别再乱学了!2026年注会《审计》学习计划表,为你整理详细备考规划2025-12-03
- 2026年注册会计师《会计》学习计划表:各章节学习顺序及时长分配2025-12-03
- 【热门资料】注册会计师6科《三色笔记》免费领2025-11-18

