2012年电气工程师考试考前训练每天一练7.16
更新时间:2012-07-16 13:59:49
来源:|0
浏览
收藏
电气工程师报名、考试、查分时间 免费短信提醒
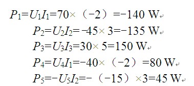
1. 题图所示电路中,5个元件代表电源或负载。通过实验测量得知:I1=-2A,I 2=3A,I 3=5A,U1=70V,U2=-45V,U3=30V,U4=-40V,U 5=-15V。判断那些元件是电源;那些元件是负载?

(A)1、2电源 3、4、5负载
(B)2、3、4 电源 1、5负载
(C)2、3电源 1、3、5负载
(D)1、5电源 2、3、4负载
答案:A
解:按实际方向判断元件的状态:U、I关联者为负载,U、I非关联者为电源。据此可判断元件1、2为电源,元件3、4为负载。也可用的方法判断如下:

因为P1<0、P2<0,故元件1、2为电源;P3>0、P4>0、P5>0,故元件3、4、5为负载。
编辑推荐
最新资讯
- 2025年注册电气工程师考试题练习2025-06-13
- 2025年注册电气工程师考试试题练习2025-04-30
- 2024年电气工程师考试试题及答案2024-10-13
- 24年注册电气工程师考试试题2024-07-30
- 注册电气工程师模拟考试试题2023-04-20
- 2022年注册电气工程师试题与答案2022-04-27
- 2022年电气助理工程师考试题及答案2022-04-21
- 注册电气工程师证含金量高吗2022-04-20
- 2022年电气工程师考试题及答案2022-04-20
- 2022年电气工程师试题与答案2022-04-18



