二级建造师施工管理备考练习题精选(15)
某工程项目施工采用《施工合同条件》,工期为15个月。承包方投标所报工期为13个月。合同总价确定为8000万元。合同约定:实际完成工程量超过估计工程量25%以上时允许调整单价:拖延工期每天赔偿金为合同总价的1‰。最高拖延工期赔偿限额为合同总价的10%;若能提前竣工,每提前l天的奖金合同总价的1‰计算。
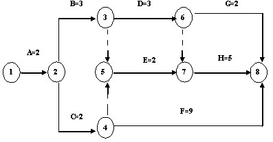
承包方开工前编制并经总监理工程师认可的施工进度计划如下图所示。

施工过程中发生了以下4个事件,致使承包人完成该项目的施工实际用了15个月。
(1)事件1:A、C两项工作为土方工程,工程量均为16万m3,土方工程的合同单价为16元/ m3。实际工程量与估计工程量相等,按计划进行4个月后,总监理工程师以设计变更通知发布新增土方工程N的指示。该工作的性质和施工难度与A、C工作相同,计划持续时间4个月,工程量为32万m3。N工作在B和C工作完成后开始施工,且为H和G的紧前工作。总监理工程师与承包单位依据合同约定协商后,确定的土方变更单价为14元/m3。承包单位按计划用4个月完成。3项土方工程均租用1台机械开挖,机械租赁费为1万元/(月?台)。由于承包人的原因,N工作实际用了4.5个月。
(2)事件2:F工作,因设计变更等待新图纸延误1个月。
(3)事件3:C工作由于连续降雨累计1个月导致实际施工3个月完成,其中0.5个月的日降雨量超过当地30年气象资料记载的最大强度,按合同专用条款的界定为风险事件。
(4)事件4:H工作由于分包单位施工的工程质量不合格造成返工,实际5.5个月完成。
由于以上事件,承包单位提出以下索赔要求:
(1)顺延工期6.5个月。理由是:完成N工作4个月;变更设计图纸延误1个月;连续降雨属于不利的条件和障碍影响1个月;监理工程师未能很好地控制分包单位的施工质量应补偿工期0.5个月。
(2)N工作的费用补偿=16元/m3×32万m3=512万元。
(3)由于第5个月后才能开始N工作的施工,要求补偿5个月的机械闲置费5月*1万元/(月?台)=5万元。
根据场景(十六),回答下列问题:
81.上述施工进度网络计划中,关键线路为( )。
A.①~②~③~⑥~⑦~⑧
B.①~②~③~⑤~⑦~⑧
C.①~②~④~⑤~⑦~⑧
D.①~②~④~⑤~⑦~⑥~⑧
E.①~②~④~⑧
82.关于机械设备闲置时间说法中,准确的是( )。
A.按照原进度计划安排,土方机械闲置时间为0
B.按照现在的进度计划,土方机械闲置时间为0
C.按照原进度计划安排,土方机械闲置时间为2个月
D.按照现在的进度计划,土方机械闲置时间为1个月
E.按照现在的进度计划,土方机械闲置时间为2个月
83.下列说法正确的是( )。
A.A是关键工作
B.C是关键工作
C.F是关键工作
D.F是非关键工作
E.H是非关键工作
84.工程网络计划中,当计划工期等于计算工期时,关键线路是指( )的线路。
A.时标网络计划中没有波形线
B.双代号网络计划中没有虚箭线
C.单代号网络计划中各关键工作之间的时间间隔均为零
D.单代号网络计划中各工作自由时差为零
E.双代号网络计划中线路长度最长
81.AE 82.AB 83.ABC 84.ACE
2011年一级建造师课程报名>>> 2011年二级建造师课程报名>>>
2011年一级建造师课程免费试听>>> 2011年二级建造师课程免费试听>>>
更多相关新闻: 建造师论坛 一级建造师频道 二级建造师频道 建造师博客
最新资讯
- 2026二级建造师题库推荐:环球网校快题库,二建备考高效助手2025-11-28
- 二级建造师免费题库软件:快题库使用指南2025-11-21
- 二建刷题哪个app好用?2026年备考就用它2025-09-19
- 2026二级建造师考试题库及答案:科学使用备考资源2025-09-19
- 2026二建市政实务基础自测卷你做了吗?开启备考第一步2025-08-14
- 2026年二建建筑实务自测模拟卷,看看你的基础有多少分?2025-08-14
- 2026年二建题库app哪个更好用,二建题库哪里免费?2025-07-21
- 2025年二建刷题哪个app好用?快题库好帮手2025-04-28
- 2025年二建考试题库免费做题!免费下载!2025-04-28
- 2025年二级建造师题库模拟试题各科汇总(免费下载+在线做题)2025-04-28