二级建造师施工管理:建筑安装工程费用的动态结算
三、建筑安装工程费用的动态结算$lesson$
建安工程费用的动态结算就是要把各种动态因素渗透到结算过程中,使结算大体能反映实际的消耗费用。下面介绍几种常用的动态结算办法。
(一)按实际价格结算法
在我国,由于建筑材料需市场采购的范围越来越大,有些地区规定对钢材、木材、水泥等三大材的价格采取按实际价格结算的办法。工程承包商可凭发票按实报销。
(二)按主材计算价差
发包人在招标文件中列出需要调整价差的主要材料表及其基期价格(一般是采用当时当地工程造价管理机构公布的信息价或结算价),工程竣工结算时,按竣工当时当地工程造价管理机构公布的材料信息价或结算价,与招标文件中列出的基期价比较计算材料差价。
(三)竣工调价系数法
按工程造价管理机构公布的竣工调价系数及调价计算方法计算差价。
(四)调值公式法(又称动态结算公式法)
即在发包人和承包人签订的合同中明确规定了调值公式。价格调整的计算工作比较复杂,其程序是:
1、确定计算物价指数的品种
一般地说,品种不宜太多,只确立那些对工程款影响较大的因素,如水泥、钢材、木材和工资等,这样便于计算。
2、要明确的两个问题
(1)在合同价格条款中,应写明经双方商定的调整因素,在签订合同时要写明考核几种物价波动到何种程度才进行调整,一般都在±l0%左右;二是考核的地点和时点,地点一般在工程所在地,或指定的某地市场价格;时点指的是某月某日的市场价格。这里要确定两个时点价格,即基准日期的市场价格(基础价格)和与特定付款证书有关的期间最后一天的49天前的时点价格。这两个时点就是计算调值的依据。
(2)确定各成本要素的系数和固定系数,各成本要素的系数要根据各成本要素对总造价的影响程度而定。各成本要素系数之和加上固定系数应该等于1。
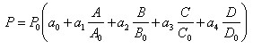
3.建筑安装工程费用的价格调值公式
建筑安装工程费用价格调值公式包括固定部分、材料部分和人工部分等。调值公式一般为:

P―调值后合同价款或工程实际结算款
P0―调值前工程进度款
a 0―固定要素,代表合同支付中不能调值的部分
2011年一级建造师课程报名>>> 2011年二级建造师课程报名>>>
2011年一级建造师课程免费试听>>> 2011年二级建造师课程免费试听>>>
更多相关新闻: 建造师论坛 一级建造师频道 二级建造师频道 建造师博客
最新资讯
- 2026年二建备考资料推荐:黄皮书红皮书助力40天冲刺2026-04-19
- 2026二建冲刺必备!案例核心50题免费PDF,全专业实务提分神器2026-04-16
- 2026年二建实务冲刺利器:案例核心50题重磅发布,PDF版免费下载2026-04-16
- 2026年二建实务提分利器汇总:实操题与案例题冲刺宝典(资料包免费送)2026-04-15
- 2026年二建案例实操高分合集:冲刺红皮书与强化黄皮书实战应用2026-04-15
- 通关宝典免费拿!2026年二建案例实操+强化黄皮书+冲刺红皮书2026-04-15
- 2026二建案例冲刺“组合拳”:44天用透黄皮书与红皮书,拿下高分实操题2026-04-15
- 2026二建实务案例题资料合集:强化黄皮书案例100问+冲刺红皮书核心50题,44天猛提分2026-04-15
- 2026二建资料黄金免费版:44天冲刺用好黄皮书+红皮书,案例100问+核心50题双杀80分2026-04-15
- 2026年二建案例实操“抢分”宝典:最后44天,死磕黄皮书与红皮书2026-04-15