2012年二级建造师《施工管理》全真模拟测评(2)
点击进入:2012年二级建造师各科目全真模拟测评 各2套>>
一、单项选择题(共70题,每题1分,每题的备选项中,只有1个符合题意)
1.按建设工程项目不同参与方的工作性质和组织特征划分,项目管理的类型不包括( )的项目管理。
A.业主方 B.施工方 C.设计方 D.政府机构
【答案】 D
【试题解析】按建设工程生产组织的特点,一个项目往往由许多参与单位承担不同的建设任务,而各参与单位的工作性质、工作任务和利益的不同,因此就形成了不同类型的项目管理,包括业主方、设计方、施工方、供货方、总承包方的项目管理。
【考点来源】该考点来自教材的第1章《施工管理》的第1节:施工方项目管理。
2.施工方项目管理的任务不包括( )。
A. 施工成本控制 B. 施工合同管理
C. 项目的投资控制 D. 施工信息管理
【答案】C
【试题解析】施工方项目管理主要服务于项目的整体利益和施工方本身的利益,其项目管理的目标包括施工的成本目标、施工的进度目标和施工的质量目标。任务为“三控三管一协调”。
C是业主方项目管理的任务。
【考点来源】该考点来自教材的第1章《施工管理》的第1节:施工方项目管理。
3.下列有关组织论和组织工具的说法中错误的有( )。
A.组织分工反映一个组织系统中各子系统或各元素的工作任务分工和管理职能分工
B.组织结构模式是一种相对动态的组织关系
C.工作流程组织可反映一个组织系统中各项工作之间的逻辑关系,是一种动态关系
D.常用的组织结构模式包括职能组织结构、线性组织结构、矩阵组织结构
E.组织分工是一种相对动态的组织关系
【答案】BE
【考题解析】排除法
工作流程组织体现了动态的组织关系,组织结构模式和组织分工体现了相对静态的组织关系。。
【考点来源】该考点来自教材的第一章《施工管理》的第2节:施工管理的组织。
4某建设项目采用施工总承包管理模式,R监理公司承担施工监理任务G施工企业承担主要的施工任务,业主将其中的二次装修发包给C装饰公司,则C装饰公司在施工中应接受( )的施工管理。
A.业主 B.R监理公司
C.G施工企业 D.施工总承包
【答案】D
【解析】施工总包管理方的主要特征:无论业主指定分包,还是总包管理方决定选择的分包,都应该服从总包管理方的管理。
【考点来源】该考点来自教材第一章:2Z101000 施工管理,第一节:2Z101010 施工方的项目管理
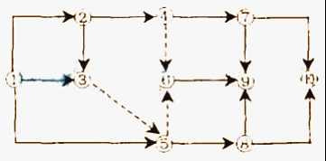
5.关于工作任务分工的说法,错误的是( )
A.工作任务分工可以用相应的组织关系来表示其组织工具
B.组织论中的组织分工指的是工作任务的分工
C.项目各参与方有各自的项目管理工作任务分工
D.工作任务分工应随着项目进展而不断深化和细化
【答案】B
【解析】组织分工包含工作任务分工和管理职能分工。
【考点来源】该考点来自教材第一章:2Z101000 施工管理,第二节:2Z101020 施工管理的组织
如果您在此过程中遇到任何疑问,请登录环球网校二级建造师考试论坛,随时与广大考生朋友们一起交流!
点击进入:2012年二级建造师各科目全真模拟测评 各2套>>
6.( )组织机构模式,在工作中常会出现交叉和矛盾的指令关系。
A.职能 B.线性 C.矩阵 D.事业部
【答案】 A
【试题解析】在职能组织结构中,每一个工作部门可能得到其直接和非直接的上级部门下达的工作指令,它就会有多个矛盾的指令源。
【考点来源】该考点来自教材的第1章《施工管理》的第2节:施工管理的组织。
7.依据动态目标控制理论,控制项目目标的措施有很多种,其中最重要的措施是( )。
A.组织措施 B.管理措施 C.经济措施 D.技术措施
【答案】A
【试题解析】项目目标动态控制的纠偏措施主要包括:组织措施、管理措施、经济措施、技术措施。纽织是目标能否实现的决定性因素,应充分重视组织措施对项目目标控制的作用。
【考点来源】该考点来自教材的第1章《施工管理》的第4节:建设工程项目目标的动态控制。
8.单位工程施工组织设计是以单位工程为对象编制的,在施工组织总设计指导下,由( )编制,用以指导单位工程的施工活动。
A. 建设单位 B. 施工单位
C. 设计单位 D. 监理单位
【答案】B
【试题解析】单位工程施工组织设计是以单位工程为对象编制的,在施工组织总设计指导下,由直接组织施工的单位编制,用以指导单位工程的施工活动。
【考点来源】该考点来自教材的第1章《施工管理》的第3节:施工组织设计的内容和编制方法。
9.以下对施工企业项目经理任务的说明,不正确的是( )。
A.施工企业项目经理和建设单位签订工程承包合同
B.施工企业项目经理与本企业法定代表人签订项目委托合同
C.项目经理的权力需要企业法定代表人授权
D.项目经理负责组织项目管理班子
【答案】A
【试题解析】排除法
建筑施工企业的项目经理,是指受企业法定代表人委托对工程项目施工过程全面负责的项目管理者,是建筑施工企业法定代表人在工程项目上的代表人。
施工企业和建设单位签订工程承包合同,而不是项目经理。
【考点来源】该考点来自教材的第1章《施工管理》的第5节:建施工方项目经理的工作性质、任务和责任。
10.目前,规定施工企业项目经理应由取得( )资质的人员担任。
A.造价师 B.安全师 C.建筑师 D.建造师
【答案】D
【考题解析】施工企业项目经理,是建筑施工企业法定代表人在工程项目上的代表人。2003(国发[2003]5号)规定:“取消建筑施工企业项目经理资质核准,由注册建造师代替,并设立过渡期为五年”。
建造师是一种专业人士的名称,而项目经理是一个工作岗位上的名称。
【考点来源】该考点来自教材的第一章《施工管理》的第5节:施工方项目经理的工作性质、任务和责任。
如果您在此过程中遇到任何疑问,请登录环球网校二级建造师考试论坛,随时与广大考生朋友们一起交流!
点击进入:2012年二级建造师各科目全真模拟测评 各2套>>
11.国际上把建设监理单位所提供的服务归为( )服务。
A.工程咨询 B.工程管理 C.工程监督 D.工程策划
【答案】A
【考题解析】监理单位是建筑市场的主体之一,建设监理是一种高智能的有偿技术服务。在国际上把这类服务归为工程咨询服务。我国归为业主方项目管理的范畴。
【考点来源】该考点来自教材的第一章《施工管理》的第7节:建设工程监理。
12.下列分步(分项)工程中,需要编制部分(分项) 工程施工组织设计的是( )
A.零星土石方工程
B.场地平整
C.混凝土垫层工程
D.定向爆破工程
【答案】D
【解析】分部分项工程施工组织设计是针对某些特别重要的、技术复杂的、或采用新工艺,新技术施工的分部分项工程,如定向爆破工程等为对象编制的。
【考点来源】该考点来自教材第一章:2Z101000 施工管理,第三节:2Z101030 施工组织设计的内容和编制方法
13.某施工项目经理,在组织项目施工中,施工质量控制不严,造成工程反工,赔偿直接经济损失达30万元,则施工企业主要追究其( )
A.法律责任
B.经济责任
C.行政责任
D.领导责任
【答案】B
【解析】政府主管部门追究的主要是法律责任,企业追究的主要是经济责任。
【考点来源】该考点来自教材第一章:2Z101000 施工管理,第五节:2Z101050 施工方项目经理的任务和责任
14.下列费用中不属于直接工程费的是( )。
A. 材料费 B. 企业管理费 C.人工费 D.施工机械用费
【答案】B
【试题解析】直接工程费是指施工过程中耗费的构成工程实体的各项费用,包括人工费、材料费、施工机械使用费。
【考点来源】该考点来自教材的第二章《施工成本控制》的第1节:建筑安装工程费用项目的组成与计算。
15.我国现行建筑安装工程费用构成中,材料二次搬运费应计入( )。
A.材料费 B.措施费
C.企业管理费 D.工程建设其他费
【答案】B
【试题解析】排除法
措施费是指为完成工程项目施工,发生于该工程施工前和施工过程中非工程实体项目的费用,一般包括环境保护费、文明施工费、安全施工费、临时设施费、夜间施工增加费、二次搬运费、大型机械设备进出场及安拆费、混凝土-钢筋混凝土模板及支架费、脚手架费、已完工程及设备保护费、施工排水、降水费等12项。
【考点来源】该考点来自教材的第二章《施工成本控制》的第1节:建筑安装工程费用项目的组成与计算。
如果您在此过程中遇到任何疑问,请登录环球网校二级建造师考试论坛,随时与广大考生朋友们一起交流!
点击进入:2012年二级建造师各科目全真模拟测评 各2套>>
16.建筑安装工程费中的税金是指( )。
A.营业税、增值税和教育费附加
B.营业税、固定资产投资方向调节税和教育费附加
C.营业税、城乡维护建设税和教育费附加
D.营业税、城乡维护建设税和固定投资方向调节税。
【答案】C
【试题解析】指国家税法规定的应计入建筑安装工程造价的营业税、城市维护建设税及教育费附加。
【考点来源】该考点来自教材的第二章《施工成本控制》的第1节:建筑安装工程费用项目的组成与计算。
17.关于工程监理的说法中正确的是( )。
A.监理单位与项目法人之间是监理与被监理的关系
B.我国的建设工程监理属于业主方项目管理的范畴
C.工程监理单位与承包单位串通,为承包单位谋取非法利益,给建设单位造成损失的,应当承担部分责任
D.工程监理应当对承包单位在施工质量、建设工期和建设资金使用等方面,代表政府实施监督
【答案】B
【试题解析】建设工程监理是一种高智能的有偿技术服务。国际上把这类服务归为工程咨询(工程顾问)服务。我国的建设工程监理属于国际上业主方项目管理范畴。
A监理单位与项目法人之间是委托与被委托的关系;
C工程监理单位与承包单位串通,给建设单位造成损失的,应当承担连带责任;
D工程监理代表业主实施监督;
【考点来源】该考点来自教材的第1章《施工管理》的第7节:建设工程监理。
18.一般情况下,进行施工成本计划编制时,计划施工成本总额应控制在( )的范围内。
A.投标报价 B.合同价款 C.目标成本 D.施工成本
【答案】C
【试题解析】计划施工成本总额应控制在目标成本的范围内。
【考点来源】该考点来自教材的第2章《施工成本管理》的第3节:施工成本管理与施工成本计划。
19.生产工人王某受单位委派到外地集中培训一个月,此间他的工资属于( )。
A.基本工资 B.工资性补贴
C.生产工人辅助工资 D.职工福利费
【答案】 C
【考题解析】人工费是指直接从事建筑安装工程施工的生产工人开支的各项费用,包括基本工工资性补贴、生产工人辅助工资、职工福利费、生产工人劳动保护费。
【考点来源】该考点来自教材的第2章《施工成本控制》的第1节:建筑安装工程费用项目的组成与计算。
20.施工项目成本控制工作从施工项目( )开始直到竣工验收,贯穿于全过程。
A.设计阶段 B.投标阶段 C.施工准备阶段 D.正式开工
【答案】B
【考题解析】建设工程项目施工成本控制应贯穿于项目从投标阶段开始直至竣工验收的全过程。
【考点来源】该考点来自教材的第2章《施工成本控制》的第3节:施工成本管理与施工成本计划。
如果您在此过程中遇到任何疑问,请登录环球网校二级建造师考试论坛,随时与广大考生朋友们一起交流!
点击进入:2012年二级建造师各科目全真模拟测评 各2套>>
21某施工项目的商品混凝土目标成本是420000元(目标产量500平方米,目标单价800元/平米,预计损耗率为5%),实际成本是511680元(实际产量600平方米,实际单价820元/平米,实际损耗率为4%).若采用因素分析法进行成本分析(因素的排列顺序是:产量、单价、耗损率),则由于产量提高增加的成本是( )元
A.49200 B.12600
C.84000 D.91680
【答案】C
【解析】因素分析法的计算原则:先实物量,后价值量,先绝对值,后相对值。
目标成本 500 * 800 *1.05= 420000元;产量提高后:600*800*1.05=504000 元,所以由于产量增加导致成本增加 504000-420000=84000 元
【考点来源】该考点来自教材第二章:2Z102000 施工成本控制,第四节:2Z102040 施工成本控制与施工成本分析
22.根据《建设工程施工合同(示范文本)》(GF-99-0201),合同中有适用于变更工程的价格,则变更合同价款的确定方法是( )
A.直接按合同已有的价格确定
B.由发包人提供并经双方确认执行
C.参照已有价格并结合变更工程量大小综合确定
D.由承包人提出并经当地工程造价管理部门审查确定
【答案】A
【解析】已有的,按照已有的;有类似的,参照类似的;没有的,由承包人或发包人提出适当的变更价格,经对方确认后执行。
【考点来源】该考点来自教材第二章:2Z102000 施工成本控制,第五节:2Z102050 建筑安装工程费用的结算
23.在计算工程索赔时,最常用的索赔费用的计算方法是( )。
A.利润索赔法 B.直接费用法
C.间接费用法 D.实际费用法
【答案】D
【试题解析】索赔费用的计算方法:实际费用法;总费用法;修正总费用法。实际费用法最常用的索赔费用的计算方法。
【考点来源】该考点来自教材的第2章《施工成本控制》的第5节:建筑安装工程费用的结算。
24.在施工成本控制过程中,采取措施纠正成本偏差之前需要完成的工作不正确的是( )。
A.检查纠偏措施的执行情况和效果
B.比较计划值与实际值
C.确定偏差的严重性及偏差产生的原因
D.估计完成项目所需的总费用
【答案】A
【试题解析】施工成本控制的步骤
1、比较;2、分析;3、预测;4、纠偏;5、检查。
【考点来源】该考点来自教材的第2章《施工成本控制》的第5节:建筑安装工程费用的结算。
25.在项目清单的编制中,( )是招标人认为可能发生的工程变更而预留的金额。
A.暂估价 B.计日工 C.零星项目费 D.暂列金额
【答案】D
【试题解析】 利润=计算基数×利润率
计算基数可采用:
(1)以直接费和间接费合计为计算基础;(直接费+间接费)×利润率。
(2)以人工费和机械费合计为计算基础;
(3)以人工费为计算基础
【考点来源】该考点来自教材的第二章《施工成本控制》的第1节:建筑安装工程费用项目的组成与计算。
如果您在此过程中遇到任何疑问,请登录环球网校二级建造师考试论坛,随时与广大考生朋友们一起交流!
点击进入:2012年二级建造师各科目全真模拟测评 各2套>>
26.建设工程定额按编制单位和适用范围分,不包括()
A 概算定额 B 国家定额
C地区定额 D企业定额
【答案】C
【试题解析】按编制单位和适用范围分为国家定额,行业定额,地区定额,企业定额。
A是按照编制程序和用途分。
【考点来源】该考点来自教材的第2章《施工成本管理》的第2节:建设工程定额。
27.某项目进行成本偏差分析,结果如下:已完工程实际施工成本-已完工程计划施工成本<0,拟完工程计划施工成本-已完工程计划施工成本>0,则说明该项目( )。
A.成本节约,工期提前 B.成本超支,工期提前
C.成本超支,工期拖后 D.成本节约,工期拖后
【答案】D
【试题解析】费用偏差CV=已完工作预算费用(BCWP)一已完工作实际费用(ACWP)
CV为负值,顼目运行超出预算费用;CV为正值,项目运行节支。
● 进度偏差SV=已完工作预算赍用(BCWP)一计划工作预算费用(BCWS)
SV为负值,进度延误;SV为正值,进度提前。
【考点来源】该考点来自教材的第2章《施工成本管理》的第4节:施工成本控制与施工成本分析。
28.按子项目组成编制施工成本计划,首先要把项目总施工成本分解到( )。
A.单体工程和单项工程中 B.单项工程和单位工程中
C.分部工程和分项工程中 D.单项工程和分部分项工程
【答案】B
【考题解析】按项目组成编制施工成本计划的方法
大中型建设项目通常由若干个单项工程构成,而每个单项工程包括了多个单位工程,每个单位工程又是由若干个分部分项工程构成。
因此,按子项目编制施工成本计划是,首先要把项目总施工成本分解到单项工程和单位工程中,再进一步分解为分部工程和分项工程。
【考点来源】该考点来自教材的第2章《施工成本控制》的第3节:施工成本管理与施工成本计划。
29.某分项工程计划工程量2000m3,计划成本15元/m3,实际完成工程量1500m3,实际成本20元/m3,则该分项工程的施工费用偏差为( )。
A.节省7500元 B.超支7500元 C.超支12500元 D.节省12500元
【答案】B
【试题解析】费用偏差(CV)
=已完工作预算费用―已完工作实际费用
=1500×(15―20)=-7500
【考点来源】该考点来自教材的第2章《施工成本控制》的第4节:施工成本控制与施工成本分析。
30.下列建设工程项目进度控制工作中,属于施工方进度控制任务的是( )
A.部署项目动用准备工作进度
B.协调设计、招标的工作进度
C.编著项目施工的工作计划
D.编制供货进度计划
【答案】C
【解析】施工方应视项目的特点和施工进度控制的需要,编制深度不 同的控制性和直接知道项目施工的进度计划,以及按不同计划周期编制的计划, 如年度,季度,月度和旬计划。
【考点来源】该考点来自教材第三章:2Z103000 施工进度控制,第二节:2Z103020 施工方进度计划的类型及其作用
如果您在此过程中遇到任何疑问,请登录环球网校二级建造师考试论坛,随时与广大考生朋友们一起交流!
点击进入:2012年二级建造师各科目全真模拟测评 各2套>>
31.下列网络计划中的计算工期是( )

A.9 B.11
C.12 D.13
【答案】C
【解析】可以尝试线路最长的为关键线路得到工期:5+4+3=12.
【考点来源】该考点来自教材第三章:2Z103000 施工进度控制,第三节:2Z103030 施工进度计划的编制方法
32.下列网路计划中,工作E的最迟开始时间是( )

A.4 B.5
C.6 D.7
【答案】B
【解析】最迟开始时间等于其紧前工作的最晚完成时间的最大值,及max[4、5]=5。
【考点来源】该考点来自教材第三章:2Z103000 施工进度控制,第三节:2Z103030 施工进度计划的编制方法
33.某工程用双代号网络图进行工程网络计划,在其双代号网络图中有虚线,这些虚线表示工作之间的( )。
A.自由时差 B.逻辑关系 C.先后顺序 D.搭接关系
【答案】B
【试题解析】 在双代号网络图中,为了正确地表述图中工作之间的逻辑关系,往往需要应用虚箭线。虚箭线是实际工作中并不存在的一项虚设工作,故它们既不占用时间,也不消耗资源,一般起着工作之间的联系、区分和断路三个作用。
【考点来源】该考点来自教材的第三章《施工进度控制》的第3节:施工进度计划的编制方法。
34.某建筑单位为进行项目进度控制调整组织机构,更换管理人员,这些行为属于施工方进度控制中的( )。
A.组织措施 B.管理措施 C.技术措施 D.经济措施
【答案】A
【试题解析】施工方进度控制的措施主要包括组织措施、管理措施、经济措施和技术措施。
【考点来源】该考点来自教材的第三章《施工进度控制》的第4节:施工方进度控制的任务和措施。
35.在建设工程项目进度控制中,( )进度控制的任务是控制整个项目实施阶段的进度。
A.业主方 B.施工方 C.设计方 D.供货方
【答案】A
【试题解析】业主方进度控制的任务是控制整个项目实施阶段的进度,包括控制设计准备阶段的工作进度、设计工作进度、施工进度、物资采购工作进度、以及项目动用前准备阶段的工作进度。
【考点来源】该考点来自教材的第三章《施工进度控制》的第1节:建设工程项目进度控制的目的和任务。
如果您在此过程中遇到任何疑问,请登录环球网校二级建造师考试论坛,随时与广大考生朋友们一起交流!
点击进入:2012年二级建造师各科目全真模拟测评 各2套>>
36.按照我国目前的有关规定,施工机械按照国家规定应缴纳的养路费属于( )。
A.直接工程费 B.措施费 C.规费 D.间接费
【答案】A
【试题解析】施工机械使用费是指施工机械作业所发生的机械使用费以及机械安拆费和场外运费。
【考点来源】该考点来自教材的第2章《施工成本管理》的第1节:建筑安装工程费用项目的组成与计算。
37.某工程包含两个子项工程,合同约定甲项200元/m2,乙项180元/m2,且从第一个月起,按5%的比例扣保修金,另工程师签发月度付款凭证的最低金额为25万元。现承包商第一个月实际完成并经工程师确认的甲、乙两子项的工程量分别为700m2、500m2。本月应付的工程款为( )。
A.21.85万元 B.22.66万元
C.23.47万元 D.25.36万元
【答案】A
【试题解析】(200×700+180×500)×(1-0.05)=21.85万元。但本月工程师签发的实际付款金额为0。
【考点来源】该考点来自教材的第2章《施工成本管理》的第5节:建筑安装工程费用的结算。
38.按照我国目前的有关规定,工程预付款应不迟于约定的开工日期( )支付。
A.前7天 B.当天 C.后7天 D.后14天
【答案】A
【试题解析】工程预付款应不迟于约定的开工日期前7天支付。
【考点来源】该考点来自教材的第2章《施工成本管理》的第5节:建筑安装工程费用的结算。
39.建安工程费用的主要结算方式不包括( )。
A. 按天结算 B. 按月结算
C. 分段结算 D. 竣工后一次结算
【答案】A
【考题解析】建安工程费用的主要结算方式
按月结算;竣工后一次结算;分段结算;双方约定的其他方法。
【考点来源】该考点来自教材的第2章《施工成本控制》的第5节:建筑安装工程费用的结算。
40.在确认计量结果后( )天内,发包人应向承包人支付工程款(进度款)。
A.7 B.14 C.28 D.30
【答案】B
【考题解析】工程进度款的支付
《建设工程施工合同》关于工程进度款支付的约定:“在确认计量结果后14天内,发包人应向承包人支付工程款(进度款)”。
【考点来源】该考点来自教材的第2章《施工成本控制》的第5节:建筑安装工程费用的结算。
如果您在此过程中遇到任何疑问,请登录环球网校二级建造师考试论坛,随时与广大考生朋友们一起交流!
点击进入:2012年二级建造师各科目全真模拟测评 各2套>>
41.工程项目建成后,不可能像某些工业产品那样,可以拆卸或者解题来检查内在的质量,所以工程项目施工质量控制应强调( )
A.质量验收
B.施工方法的技术比选
C.过程控制
D.投入要素的质量控制
【答案】C
【解析】工程项目的终检存在一定的局限性,故此工程项目的施工质量控制应强调过程控制。
【考点来源】该考点来自教材第四章:2Z104000 施工质量控制,第一节:2Z104010 施工质量管理和质量控制的基础知识
42.工程项目质量管理中。应当在数据和信息分析的基础上作出决策。这是质量管理原则中( )的要求。
A.持续改进
B.过程方法
C.基于事实的决策方法
D.管理的系统方法
【答案】C
【解析】工程项目质量管理中。应当在数据和信息分析的基础上作出决策。这是质量管理原则中基于事实的决策方法的要求。
【考点来源】该考点来自教材第四章:2Z104000 施工质量控制,第二节:2Z104020 施工质量管理体系的建立和运行
43.横道图进度计划法是一种常用的计划编制方法,横道图进度计划表中的进度线与( )相对应。
A.进度坐标 B.投资坐标 C.时间坐标 D.成本坐标
【答案】C
【试题解析】横道图的特点。
【考点来源】该考点来自教材的第三章《施工进度控制》的第3节:施工进度计划的编制方法。
44.施工质量是指工程满足( )需要的,符合国家法律、法规、技术规范标准、设计文件及合同规定的要求的特性综合。
A.业主 B.承包商
C.项目经理 D.监理工程师
【答案】A
【试题解析】施工质量是指工程满足业主(顾客)需要的,符合国家法律、法规、技术规范标准、设计文件及合同规定的要求的特性综合,包括在安全、使用功能、耐久性、环境保护等方面特性。
【考点来源】该考点来自教材的第4章《施工质量控制》的第1节:施工质量管理和质量控制的基础知识。
45.总进度目标论证的核心工作是编制( )。
A.项目实施的总体部署 B.总进度纲要
C.各子系统进度规划 D.总进度目标实现的条件和应采取的措施等
【答案】B
【试题解析】大型建设工程项目总进度论证的核心工作是通过编制总进度纲要论证总进度目标实现的可能性。
【考点来源】该考点来自教材的第3章《施工进度控制》的第1节:建设工程项目进度控制的目的和任务。
如果您在此过程中遇到任何疑问,请登录环球网校二级建造师考试论坛,随时与广大考生朋友们一起交流!
点击进入:2012年二级建造师各科目全真模拟测评 各2套>>
46.建设单位在工程竣工验收( )日前,向建设工程质量监督机构申领“建设工程竣工验收备案表”和“建设工程竣工验收报告”。
A.7 B.8 C.9 D.10
【答案】A
【试题解析】正式验收
在竣工验收7个工作日前将验收时间、地点及老师名单书面通知当地工程质量监督站。
【考点来源】该考点来自教材的第4章《施工质量控制》的第3节:施工质量控制的内容与方法。
47.施工质量控制的特点不包括( )
A.控制难度大 B. 控制因素少
C.终检局限大 D.过程控制要求高
【答案】B
【试题解析】施工质量控制的特点
控制因素多;控制难度大;过程控制要求高;终检局限大。
【考点来源】该考点来自教材的第4章《施工质量控制》的第1节:施工质量管理和质量控制的基础知识。
48.下列属于不属于施工准备的质量控制的是( )。
A. 材料的质量控制 B. 施工机械设备的质量控制
C. 技术交底 D. 现场施工准备的质量控制
【答案】C
【试题解析】排除法
C属于施工过程的质量控制。
【考点来源】该考点来自教材的第4章《施工质量控制》的第3节:施工质量控制的内容与方法。
49.某埋管沟槽开挖分项工程,计日工每工日工资标准50元,折减系数为0.6。在开挖过程中,由于业主原因造成承包商8人窝工5天,承包商原因造成窝工10天,由此承包商提出的人工费索赔为( )。
A.1200元 B.2000元 C.6000元 D.3600元
【答案】A
【考题解析】人工费索赔计算=8×5×50×0.6=1200元。
【考点来源】该考点来自教材的第2章《施工成本控制》的第5节:建筑安装工程费用的结算。
50.某工程单目标双代号网络计划如下图所示,图中的错误是( )。
A.有多个起点节点 B.有多个终点节点
C.有双向箭头联线 D.有循环回路

【答案】B
【试题解析】双代号网络图中应只有一个起点节和一个终点节点(多目标网络计划除外),而其他所有节点均应是中间节点。
节点9和节点10均为终点节点。
【考点来源】该考点来自教材的第3章《施工进度控制》的第3节:施工进度计划的编制方法。
如果您在此过程中遇到任何疑问,请登录环球网校二级建造师考试论坛,随时与广大考生朋友们一起交流!
点击进入:2012年二级建造师各科目全真模拟测评 各2套>>
51.建设工程质量控制过程中,选择质量控制点的原则不包括( )。
A.施工中的薄弱环节
B.施工投入资源大的工序和部位
C.对下道工序有较大影响的上道工序
D.施工无把握、施工条件困难的工序
E.采用新技术或者新员工的部位或环节
【答案】D
【考题解析】选择质量控制点的原则
1)对工程质量形成过程产生直接影响的关键部位、工序或环节及隐蔽工程;2)施工过程中的薄弱环节,或者质量不稳定的工序、部位或对象;3)对下道工序有较大影响的上道工序;4)采用新技术、新工艺、新材料的部位或环节;5)施工上无把握的、施工条件困难的或技术难度大的工序或环节;6)用户反馈指出和过去有过返工的不良工序。
【考点来源】该考点来自教材的第4章《施工质量控制》的第3节:施工质量控制的内容与方法。
52.技术交底的内容包括( )。
A.施工总体流程和施工部署 B.任务范围、施工方法、注意的问题等
C.每道工序的施工条件 D.法律、法规要求
【答案】B
【考题解析】技术交底的内容主要包括:任务范围、施工方法、质量标准和验收标准,施工中应注意的问题,可能出现意外的措施及应急方案,文明施工和安全防护措施以及成品保护要求等。
【考点来源】该考点来自教材的第4章《施工质量控制》的第3节:施工质量控制的内容与方法。
53.某工程在竣工质量验收时,参与竣工验收的设计单位与施工、监理单位发生争执,无法形成一致的意见,该情况下,正确的做法是( )
A.由建设单位作出验收结论
B.由质量监督站调解并作出验收结论
C.协商一致后重新组织验收并作出验收结论
D.请建设行政主管部门调解并作出验收结论
【答案】C
【解析】参与工程竣工验收的建设,勘察,设计,施工,监理等 各方不能形成一致意见时,应当协商提出解决放大,待意见一致后,重新组织工 程竣工验收,必要时可以提请建设行政主管部门或质量监督站调节。
【考点来源】该考点来自教材第四章:2Z104000 施工质量控制,第三节:2Z104030 施工质量控制的内容和方法
54.对需要旁站监理的钢结构施工,施工企业至少应当在钢结构安装前( )时,书面通知监理单位派驻工地的监理机构。
A.24 B.36
C.48 D.60
【答案】A
【解析】对需要旁站监理的钢结构施工,施工企业至少应当在钢结构安装前24时,书面通知监理单位派驻工地的监理机构。
【考点来源】该考点来自教材第一章:2Z101000 施工管理,第七节:2Z101070 建设工程监理
55.根据《建筑安装工程费用和项目组成》(建标[2003]206号),施工项目墙体砌筑所用的沙子在运输过程中不可避免的耗损,应计入( )
A.企业管理费
B.二次搬运费
C.材料费
D.措施费
【答案】C
【解析】材料费包括:1、材料原价 2、材料运杂费 3、运输损耗费 4、采购 及保管费 5、检验试验费。
【考点来源】该考点来自教材第二章:2Z102000 施工成本控制,第一节:2Z102010 建筑安装工程费用项目的组成与计算
如果您在此过程中遇到任何疑问,请登录环球网校二级建造师考试论坛,随时与广大考生朋友们一起交流!
点击进入:2012年二级建造师各科目全真模拟测评 各2套>>
56.质量事故的处理方法不包括( )。
A.修补处理 B.返工处理
C. 设计处理 D.报废处理
【答案】C
【试题解析】事故处理的基本方法包括:修补处理、加固处理、返工处理、限制使用、报废处理以及不作处理。
【考点来源】该考点来自教材的第4章《施工质量控制》的第4节:施工质量事故。
57.下列事故属于重大事故的是( )。
A.严重影响使用功能或安全,存在重大安全隐患
B.直接经济损失500万元以上
C.工程倒塌或报废,或直接经济损失10万元以上,500万元以下
D.伤亡30人以上
【答案】C
【试题解析】质量事故按照造成损失的严重程度可分为:
重大质量事故(指工程倒塌或报废;或由于质量事故造成人员死亡或重伤3人以上;或直接经济损失10万元以上的);
【考点来源】该考点来自教材的第4章《施工质量控制》的第4节:施工质量事故。
58..监督不到位;措施不力;材料、设备管理不善等所引发的质量事故属于( )质量事故。
A.技术原因 B.管理原因
C.社会原因 D.经济原因
【答案】B
【试题解析】质量事故按产生的原因可分为:技术原因引发的质量事故、管理原因引发的质量事故以及社会、经济原因引发的质量事故。
【考点来源】该考点来自教材的第4章《施工质量控制》的第4节:施工质量事故。
59.根据《建筑工程施工质量验收统一标准》(GB50300―2001),建筑工程质量验收逐级划分为( )。
A.分部工程、分项工程和检验批
B.分部工程、分项工程、隐蔽工程和检验批
C.单位工程、分部工程、分项工程和检验批
D.单位工程、分部工程、分项工程、隐蔽工程和检验批
【答案】C
【考题解析】施工过程质量验收的内容
检验批和分项工程是质量验收的基本单元;分部工程是在所含全部分项工程验收的基础上进行验收的;单位工程作为具有独立使用功能的完整的建筑产品,进行竣工质量验收。
【考点来源】该考点来自教材的第4章《施工质量控制》的第3节:施工质量控制的内容与方法。
60.经有资质的检测单位检测鉴定达不到设计要求、但经( )认可能够满足结构安全和使用功能的检验批,可予以验收。
A.建设单位核算 B.原设计单位核算
C.施工单位核算 D.监理工程师核算
【答案】B
【试题解析】当建筑工程质量不符合要求时,应按下列规定进行处理:
其中:
2)经有资质的检测单位检测鉴定能够达到设计要求的检验批,应予以验收。
3)经有资质的检测单位检测鉴定达不到设计要求、但经原设计单位核算认可能够满足结构安全和使用功能的检验批,可予以验收。
【考点来源】该考点来自教材的第4章《施工质量控制》的第3节:施工质量控制的内容与方法。
如果您在此过程中遇到任何疑问,请登录环球网校二级建造师考试论坛,随时与广大考生朋友们一起交流!
点击进入:2012年二级建造师各科目全真模拟测评 各2套>>
61.某工程采用《建设工程工程量清单计件规范》(GB 50500-2008),指标人提供的工程量清单中挖土方的工程量为2600/平方米,投标人根据其施工方案计算出的挖土方作业量为4300/平方米,完成该分项工程的直接工程费为76000元。管理费为20000元。利润为5000元。其他因素均不考虑,,则根据已知条件,投标人应报的综合单价为( )元/平方米
A.23.49 B.29.28
C.36.92 D.38.85
【答案】D
【解析】清单综合单价=(人工+材料+机械+管理费+利润)/图示尺寸的工程量净量
= (76000+20000+5000)/ 2600= 38.85
【考点来源】该考点来自教材第二章:2Z102000 施工成本控制,第一节:2Z102010 建筑安装工程费用项目的组成与计算
62.编制标准砖砌体材料消耗定额时,砖的消耗量应按( )确定
A.净用量
B.净用量加损耗量
C.一次损耗量
D.损耗量加补损量
【答案】B
【解析】材料消耗定额,主要包括确定直接使用在工程上的材料净用量和在施工现场内运 输和操作过程中的不可避免的废料和损耗。
【考点来源】该考点来自教材第二章:2Z102000 施工成本控制,第二节:2Z102020 建设工程定额
63.《职业健康安全管理体系》和《环境管理体系》两个体系总体框架相同,都采用了( )循环的运行模式和持续改进的理念。
A.PCDA B.PDCA C.ACPD D.CPDA
【答案】B
【试题解析】职业健康安全与环境管理体系的基本运行模式
采用的是PDCA动态循环、不断上升的螺旋式管理运行模式。
【考点来源】该考点来自教材的第5章《建设工程职业健康安全与环境管理》的第2节:建设工程职业健康安全与环境管理。
64.下列不属于施工准备阶段的施工安全技术措施的是( )。
A. 技术准备措施 B. 物资准备措施
C. 拆除工程措施 D. 施工现场准备措施
【答案】C
【试题解析】施工准备阶段的施工安全技术措施主要包括技术准备、物资准备、施工现场准备和施工队伍准备。
施工阶段的施工安全技术措施主要包括一般工程、特殊工程以及拆除工程。
【考点来源】该考点来自教材的第5章《建设工程职业健康安全与环境管理》的第1节:施工安全管理。
65.施工总承包模式和施工总承包管理模式相比,其相同之处是( )。
A.工作开展程序相同 B.合同结构相同
C.分包单位的选择和认可相同 D.对分包单位的管理和服务
【答案】D
【试题解析】施工总承包管理与施工总承包模式的比较
1、工作开展程序不同;2、合同关系不同;3、分包单位的选择和认可不同;4、对分包单位的付款不同;5、合同价格不同。
而对分包单位的管理和服务: 施工总承包管理单位和施工总承包单位一样,既要负责对现场施工的总体管理和协调,也要负责向分包人提供相应的配合施工的服务。
【考点来源】该考点来自教材的第一章《建设工程项目的组织与管理》的第四节:建设工程项目采购的模式。
如果您在此过程中遇到任何疑问,请登录环球网校二级建造师考试论坛,随时与广大考生朋友们一起交流!
点击进入:2012年二级建造师各科目全真模拟测评 各2套>>
66.承包人覆盖工程隐蔽部位后,监理人对质量有疑问的,可要求承包人对已覆盖的部位进行钻孔探测或揭开重新检验。经检验证明工程质量符合合同要求的,由发包人承担由此增加的费用和(或)工期延误由( )承担。
A.承包人 B.发包人 C.分包人 D.监理工程师
【答案】B
【试题解析】承包人覆盖工程隐蔽部位后,监理人对质量有疑问的,可要求承包人对已覆盖的部位进行钻孔探测或揭开重新检验。经检验证明工程质量符合合同要求的,由发包人承担由此增加的费用和(或)工期延误,并支付承包人合理利润;经检验证明工程质量不符合合同要求的,承包人承担由此增加的费用和(或)工期延误。
【考点来源】该考点来自教材的第6章《施工合同管理》的第2节:施工承包与物资采购合同的内容。
67.施工安全技术保证体系包括:①安全可靠性技术;②安全保(排)险技术;③安全限控制技术;④安全保护技术四个保证环节,该体系从第一关到第四关的排列顺序是( )。
A①→③→②→④ B②→④→①→③
C③→④→①→② D④→①→②→③
【答案】A
【试题解析】施工安全的技术保证体系
包括安全可靠性技术、安全限控技术、安全保险与排险技术、安全保护技术。
【考点来源】该考点来自教材的第5章《建设工程职业健康安全与环境管理》的第1节:施工安全管理。
68.职生产安全事故发生后,受伤者或最先发现事故的人员应立即用最快的传递手段,将发生事故的时间、地点、伤亡人数、事故原因等情况,向施工单位负责人报告;施工单位负责人接到报告后,应当在( )小时内向事故发生地县级以上人民政府建设主管部门和有关部门报告。
A.1 B.2 C.3 D.4
【答案】A
【考题解析】事故报告
现场 → 施工单位负责人 → 主管部门
(立即) (1小时内)
注:出现新情况或伤亡人数变化,30日内及时补报。
【考点来源】该考点来自教材的第5章《建设工程职业健康安全与环境管理》的第2节:建设工程职业健康安全与环境管理。
69.某施工企业通过投标获得了某工程的施工任务,合同签订后,公司有关部门开始选派项目经理并编制成本计划,该阶段编制的成本计划属于( )。
A.竞争性成本计划
B.指导性成本计划
C.实施性成本计划
D.战略性成本计划
【答案】B
【解析】指导性成本计划是选派项目经理阶段的预算成本计划, 是项目经理的责任成本目标,它是以合同标书为依据。
【考点来源】该考点来自教材第二章:2Z102000 施工成本控制,第三节:2Z102030 施工成本管理与施工成本计划
70.关于施工平行承发包特点的说法,正确的是( )
A.签订的合同越多,业主的责任与义务就越少
B.业主直接管理所有的施工合同,管理风险小
C.业主可以分次招标,每次招标工作量较小,业主用于招标的时间较少
D.业主直接控制所有工程的发包,可决定所有工程的承包商的选择
【答案】D
【解析】施工平行承发包的特点
1.费用控制
(1)对每一部分工程施工任务的发包,都以施工图设计为基础,投标人进行投标报价较有依据,工程的不确定性程度降低了,对合同双方的风险也相对降低了;
(2)每一部分工程的施工,发包人都可以通过招标选择最好的施工单位承包,对降低工程造价有利;
(3)对业主来说,要等最后一份合同签订后才知道整个工程的总造价,对投资的早期控制不利。
2.进度控制
(1)某一部分施工图完成后,即可开始这部分工程的招标,开工日期提前,可以边设计边施工,缩短建设周期;
(2)由于要进行多次招标,业主用于招标的时间较多。
3.质量控制
(1)符合质量控制上的“他人控制”原则,对业主的质量控制有利;
(2)合同交界面比较多,应非常重视各合同之间界面的定义,否则对质量控制不利。
4.合同管理
(1)业主要负责所有施工承包合同的招标、合同谈判、签约,招标及合同管理工作量大,对业主不利;
(2)业主要负责对多个施工承包合同的跟踪管理,工作量较大。
5.组织与协调
业主要负责对所有承包商的管理及组织协调,承担类似于总承包管理的角色,工作量大,对业主不利。
【考点来源】该考点来自教材第六章:2Z106000 施工合同管理,第一节:2Z106010 施工承发包的模式
如果您在此过程中遇到任何疑问,请登录环球网校二级建造师考试论坛,随时与广大考生朋友们一起交流!
点击进入:2012年二级建造师各科目全真模拟测评 各2套>>
二、多项选择题(共25题,每题2分。每题的备选项中,有2个或2个以上符合题意,至少有一个错项。错选, 本题不得分;少选,所选的每个选项的0.5分)
71.按照组织论的基本原理,组织工具是组织论的应用手段,它包括( )。
A.组织结构图 B.任务分工表
C.管理职能分工表 D.工作流程图
E.施工图
【答案】ABCD
【试题解析】组织工具:项目结构图;组织结构图;工作任务分工表;管理职能分工表;工作流程图。
【考点来源】该考点来自教材的第1章《施工管理》的第2节:施工管理的组织。
72.按照风险管理理论,就构成风险的因素对风险的类型进行分类,可以分为( )。
A.组织风险 B.设备风险 C.经济与管理风险
D.工程环境风险 E.技术风险
【答案】ACDE
【试题解析】建设工程施工的风险类型有多种分类方法,按照构成的因素分类,可将其分为组织风险、经济与管理风险、工程环境风险和技术风险四种。
【考点来源】该考点来自教材的第1章《施工管理》的第6节:施工风险管理。
73.下列( )的项目管理都属于施工方的项目管理。
A.施工总承包方 B.设备供应方
C.施工分包方 D.建设项目总承包方
E 建设项目开发方
【答案】AC
【考题解析】投资方、开发方和由咨询公司提供的代表业主方利益的项目管理服务都属于业主方的项目管理。施工总承包方和分包方的项目管理都属于施工方的项目管理。材料和设备供应方的项目管理都属于供货方的项目管理。
【考点来源】该考点来自教材的第一章《施工管理》的第1节:施工方项目管理。
74.我国推行建设工程监理制度的目的是( )。
A. 确保工程建设质量 B. 提高工程建设水平
C. 加强对施工单位的约束 D. 充分发挥投资效益
E. 增加工程咨询服务的市场份额
【答案】ABD
【试题解析】推行建设工程监理制度的目的:确保工程建设质量; 提高工程建设水平;充分发挥投资效益。
【考点来源】该考点来自教材的第1章《施工管理》的第7节:建设工程监理。
75.按照我国目前建筑安装工程费用组成,人工工日单价的组成费用包括( )。
A. 生产工人基本工资 B. 施工机械司机基本工资
C. 生产工人辅助工资 D.企业职工教育培训经费
E. 生产工人劳动保护费
【答案】ACE
【试题解析】人工费是指直接从事建筑安装工程施工的生产工人开支的各项费用,包括基本工资、工资性补贴、生产工人辅助工资、职工福利费、生产工人劳动保护费。
B属于机械费;D属于企业管理费。
【考点来源】该考点来自教材的第2章《施工成本控制》的第1节:建筑安装工程费用项目的组成与计算。
如果您在此过程中遇到任何疑问,请登录环球网校二级建造师考试论坛,随时与广大考生朋友们一起交流!
点击进入:2012年二级建造师各科目全真模拟测评 各2套>>
76.建筑工程监理应当依照( ),对承包单位在施工质量、建设工期和建设资金使用等方面,代表建设单位实施监督。
A.法律及行政法规 B.有关的技术标准
C.项目建议书 D.设计文件
E 建筑工程承包合同
【答案】ABDE
【考题解析】根据中华人民共和国建筑法,建筑工程监理应当依照法律、行政法规及有关的技术标准、设计文件和建筑工程承包合同,对承包单位在施工质量、建设工期和建设资金使用等方面,代表建设单位实施监督。
【考点来源】该考点来自教材的第一章《施工管理》的第7节:建设工程监理。
77.政府质量监督机构在工程开工前进行第一次监督检查,其内容有( )。
A.检查项目参与各方的质量保证体系建立情况
B.审查施工组织设计、监理规划等文件以及审批手续
C.检查工程建设各方的合同文件的签署情况
D.审查项目建设行政审批手续是否齐全完备
E.检查相关人员的资格证书
【答案】AE
【解析】检查的主要内容是:
(1) 检查参与工程项目建设的各方质量保证体系的建立情况,包括组织机构、质量控制方案、措施及责任制的制度。
(2) 审查参与建设各方的工程精英资质证书和相关人员的资格证书。
(3) 审查按建设程序规定的开工前必须办理的各项建设形成手续是否齐全完备。
(4) 审查施工组织设计、监理规划文件以及审批手续。
(5) 检查的结果记录保存。
【考点来源】该考点来自教材第四章:2Z104000 施工质量控制,第五节:2Z104050 施工质量的政府监督
78.按照我国目前的建筑安装工程费用组成,可以计入建筑安装工程费的税费有?( )?
A.房产税 B.车船使用税 C.教育费附加
D.营业税 E.固定资产方向调节税
【答案】CD
【试题解析】税金
指国家税法规定的应计入建筑安装工程造价的营业税、城市维护建设税及教育费附加。
【考点来源】该考点来自教材的第2章《施工成本控制》的第1节:建筑安装工程费用项目的组成与计算。
79.下列费用中,不属于建筑安装工程直接费的有( )。
A. 大型施工机械安拆费 B. 材料二次搬运
C. 工程排污费 D. 人工费
E. 材料费
【答案】ABC
【试题解析】排除法
AB是措施费,C是规费。
【考点来源】该考点来自教材的第2章《施工成本管理》的第1节:建筑安装工程费用项目的组成与计算。
80.下列选项中,承包商可索赔人工费的项目有( )。
A.工效降低增加的劳动 B.完成合同之外的工作所花费的人工费
C.人工费增长 D.非承包商责任工期延期导致的窝工费
E 施工人员保险费
【答案】BD
【考题解析】索赔费用的组成――1.人工费
指完成合同之外的额外工作所花费的人工费用;由于非承包商责任的工效降低所增加的人工费用;超过法定工作时间加班劳动;法定人工费增长以及非承包商责任工期延期导致的人员窝工费和工资上涨费等。
【考点来源】该考点来自教材的第2章《施工成本控制》的第5节:建筑安装工程费用的结算。
如果您在此过程中遇到任何疑问,请登录环球网校二级建造师考试论坛,随时与广大考生朋友们一起交流!
点击进入:2012年二级建造师各科目全真模拟测评 各2套>>
81.关于建设工程项目进度计划系统的说法,正确的有( )。
A.项目进度计划系统是项目进度控制的依据
B.项目进度计划系统在项目实施前应建立并完善
C.项目各参与方可以编制多个不同的进度计划系统
D.项目进度计划系统中各计划应注意联系与协调
E.项目进度计划系统可以有多个不同周期的进度计划完成
【答案】ACDE
【解析】由于各种进度计划编制所需要的必要资料是在项目进展过程中逐步形成的,因此项目进度计划系统的建立和完善也有一个过程,它也是逐步完善的。
【考点来源】该考点来自教材第三章:2Z103000 施工进度控制,第二节:2Z103020 施工方进度计划的类型及其作用
82.某工程施工进度计划如图所示,下列说法中,正确的有( )。

A.R的紧后工作有A、B
B.E的紧前工作只有C
C.D的紧后工作只有F
D.P没有紧前工作
E.A、B的紧后工作都有D
【答案】ACDE
【解析】E的紧前工作有A和C。
【考点来源】该考点来自教材第三章:2Z103000 施工进度控制,第三节:2Z103030 施工进度计划的编制方法
83.工程质量不符合要求时,应按规定进行处理,其中有( )。
A.经返工或更换设备的工程,应该重新检查验收
B.经有资质的检测单位检测鉴定,能达到设计要求的工程,应予验收
C.经返修或加固处理的工程,若局部尺寸等不符合设计要求,不能通过验收
D.经返修和加固后仍不能满足使用要求的工程严禁验收
E.只要经过政府主管部门批准合格,工程即可通过验收
【答案】ABD
【试题解析】当建筑工程质量不符合要求时,应按下列规定进行处理:
1)经返工重做或更换器具、设备的检验批,应重新进行验收。
2)经有资质的检测单位检测鉴定能够达到设计要求的检验批,应予以验收。
3)经有资质的检测单位检测鉴定达不到设计要求、但经原设计单位核算认可能够满足结构安全和使用功能的检验批,可予以验收。
4)经返修或加固处理的分项、分部工程,虽然改变外形尺寸但仍能满足安全使用要求,可按技术处理方案和协商文件进行验收。
6.通过返修或加固处理仍不能满足安全使用要求的分部工程、单位(子单位)工程,严禁验收。
【考点来源】该考点来自教材的第4章《施工质量控制》的第3节:施工质量控制的内容与方法。
84.按造成损失的严重程度,质量事故可以分为( )。
A.一般质量事故 B.较大质量事故
C. 严重质量事故 D.重大质量事故
E.特大质量事故
【答案】ACDE
【试题解析】按照造成损失的严重程度可分为:一般质量事故;严重质量事故;重大质量事故;特别重大事故。
【考点来源】该考点来自教材的第4章《施工质量控制》的第4节:施工质量事故。
85.工程量清单计价的投标报价由( )部分组成
A 分部分项工程费 B 措施项目费 C 企业管理费用
D 规费 E 税金
【答案】ABDE
【试题解析】工程量清单费用由分部分项工程费、措施项目费、其他项目费、规费和税金组成。
【考点来源】该考点来自教材的第2章《施工成本管理》的第1节:建筑安装工程费用项目的组成与计算。
如果您在此过程中遇到任何疑问,请登录环球网校二级建造师考试论坛,随时与广大考生朋友们一起交流!
点击进入:2012年二级建造师各科目全真模拟测评 各2套>>
86.依据工程网络计划理论,下列关于关键工作的说法正确的是( )。
A.关键工作位于关键线路上
B.关键工作是网络计划中总时差最小的工作
C.当计算工期不能满足工期要求时,只能压缩关键工作的持续时间
D.在网络计划中,自由时差最小的工作都是关键工作
E.当计划工期等于计算工期时,关键工作的总时差为零
【答案】ABE
【试题解析】关键工作和关键线路的确定
(1)关键工作:总时差最小的工作是关键工作。
(2)关键线路:从起点节点开始到终点节点均为关键工作,且所有工作的时间间隔为零的线路为关键线路。
【考点来源】该考点来自教材的第3章《施工进度控制》的第3节:施工进度计划的编制方法。
87.总进度纲要的主要内容包括( )。
A.项目实施的总体部署 B可行性研究报告
C.各子系统进度规划 D.确定里程碑事件的计划进度目标
E 总进度目标实现的条件和应采取的措施
【答案】ACDE
【考题解析】大型建设工程项目总进度目标论证的核心工作是:通过编制总进度纲要论证总进度目标实现的可能性。总进度纲要的主要内容包括:
1、项目实施的总体部署; 2、总进度规划; 3、各子系统进度规划;
4、确定里程碑事件的计划进度目标;
5、总进度目标实现的条件和应采取的措施等。
【考点来源】该考点来自教材的第三章《施工进度控制》的第1节:建设工程项目进度控制的目的和任务。
88.下列施工质量控制内容中,属于现场施工质量检查内容的有( )。
A.开工条件检查
B.工序交接检查
C.材料质量检验报告检查
D.成品保护检查
E.施工机械性能稳定性检查
【答案】ABD
【解析】现场质量检查的主要内容包括:开工前的检查,工序交接检查,隐蔽工程检查,停工复工的检查,分项、分部工程完工后的检查,成品保护的检查。
【考点来源】该考点来自教材第四章:2Z104000 施工质量控制,第三节:2Z104030 施工质量控制的内容和方法
89.建设工程环境保护措施下列说法正确的有( )。
A.高大建筑物清理施工垃圾时,要使用封闭式的容器或者采取其他措施处理高空废弃物,严禁凌空随意抛撒
B.对于水泥、粉煤灰、白灰等的运输、储存要注意遮盖、密封,防止和减少飞扬
C.施工现场的垃圾渣土每天都必须清理出现场
D.泥浆水,未经处理不得直接排入城市排水设施和河流
E.禁止将废弃物用作土方回填
【答案】ABD
【试题解析】建设工程环境保护措施
⑴妥善处理泥浆水,未经处理不得直接排入城市排水设施和河流;
⑵除设有符合规定的装置外,不得在施工现场熔融沥青或者焚烧油毡、油漆以及其他会产生有毒有害烟尘和恶臭气体的物质;
⑶使用密封式的圆筒或者采取其他措施处理高空废弃物;
⑷采取有效措施控制施工过程中的扬尘;
⑸禁止将有毒有害废弃物用作土方回填;
⑹对产生噪声、振动的施工机械,应采取有效控制措施,减轻噪声扰民
【考点来源】该考点来自教材的第5章《建设工程职业健康安全与环境管理制》的第2节:建设工程职业健康安全与环境管理。
90.施工质量的影响因素有( )
A.人的因素 B.机械的因素
C.材料的因素 D.政治法律因素
E.环境因素
【答案】ABCE
【试题解析】施工质量的影响因素4M1E
(1)人的因素;(2)材料的因素;(3)机械的因素;(4)方法的因素;(5)环境的因素。
【考点来源】该考点来自教材的第4章《施工质量控制》的第1节:施工质量管理和质量控制的基础知识。
如果您在此过程中遇到任何疑问,请登录环球网校二级建造师考试论坛,随时与广大考生朋友们一起交流!
点击进入:2012年二级建造师各科目全真模拟测评 各2套>>
91.噪声按振动性质可分为( )。
A.气体动力噪声 B.交通噪声
C.电磁性噪声 D.机械噪声
E.爆炸性噪声
【答案】ACDE
【试题解析】噪声的类型
(1)机械性噪声;(2)空气动力性噪声;(3)电磁性噪声;(4)爆炸性噪声
【考点来源】该考点来自教材的第5章《建设工程职业健康安全与环境管理》第2节:建设工程职业健康安全与环境管理。
92.下列文件中,属于施工成本计划编制依据的有( )
A.招标文件
B.施工成本预测资料
C.已签订的合同
D.施工组织设计或施工方案
E.企业定额、施工预算
【答案】BCDE
【解析】施工成本计划的编制依据包括:
(1)投标报价文件;
(2)企业定额、施工预算;
(3)施工组织设计或施工方案;
(4)人工、材料、机械台班的市场价;
(5)企业颁布的材料指导价、企业内部机械台班价格、劳动力内部挂牌价格;
(6)周转设备内部租赁价格、摊销损耗标准;
(7)已签订的工程合同、分包含同(或估价书);
(8)结构件外加工计划和合同;
(9)有关财务成本核算制度和财务历史资料;
(10)施工成本预测资料;
(11)拟采取的降低施工成本的措施;
(12)其他相关资料。
【考点来源】该考点来自教材第二章:2Z102000 施工成本控制,第三节:2Z102030 施工成本管理与施工成本计划
93.《建设工程施工合同示范文本》通用条款规定了发包人和承包人的责任义务,其中属于发包人的责任义务包括( )。
A.负责施工场地与道路的申请
B.负责施工期间工地的安全,看管进场材料和设备
C.协助办理施工许可证及其他施工所需证件、批件
D.按合同规定主持和组织工程的验收
E.负责对分包的管理,并对分包人的行为负责
【答案】ACD
【试题解析】排除法
B、E是承包人的责任和义务。
【考点来源】该考点来自教材的第6章《施工合同管理》的第2节:施工承包与物资采购合同的内容。
94.劳务分包合同规定:劳务报酬可以采用( )方式。
A.固定劳务报酬(含管理费)
B.约定不同工种劳务的计时单价(含管理费),按确认的工时计算
C.约定不同工种劳务的计时单价(含管理费),按图计算
D.约定不同工作成果的计件单价(含管理费),按确认的工程量计算
E.约定不同工作成果的计件单价(含管理费),按图计算
【答案】ABD
【试题解析】劳务报酬可以采用以下方式中的任何一种:
(1)固定劳务报酬(含管理费);
(2)约定不同工种劳务的计时单价(含管理费),按确认的工时计算;
(3)约定不同工作成果的计件单价(含管理费),按确认的工程量计算。
【考点来源】该考点来自教材的第6章《施工合同管理》的第3节:施工单价合同、总价合同与成本加酬金合同。
95.采用固定总价合同,承包商承担的风险主要有( )。
A.工期风险
B.价格风险
C. 工作量风险
D.施工技术方案引发的风险
E.政治风险
【答案】BC
【解析】固定总价合同的价格计算是以图纸及规定、规范为基础,工程任务和内容明确,业主的要求和条件清楚,合同总价一次包死,固定不变,即不再因为环境的变化和工程量的增减而变化。在这类合同中,承包商承担了全部的工作量和价格的风险。因此,承包商在报价时应对一切费用的价格变动因素以及不可预见因素都做充分的估计,并将其包合在合同价格之中。
【考点来源】该考点来自教材第六章:2Z106000 施工合同管理,第三节:2Z106030 施工单价合同、总价合同与成本加酬金合同
如果您在此过程中遇到任何疑问,请登录环球网校二级建造师考试论坛,随时与广大考生朋友们一起交流!
最新资讯
- 2026二级建造师万人模考卷已更新两期,附免费下载资料包2026-04-27
- 2026二级建造师万人模考卷已更新两期,附免费下载资料包2026-04-27
- 2026二级建造师【万人模考卷】免费领取,冲刺备考最后30天2026-04-27
- 冲刺必刷!2026二建万人模考卷免费下载,三期全科目+资料包,考前30天提分攻略2026-04-27
- 免费领!2026二建万人模考卷上线,三期全科目覆盖,冲刺资料包助力上岸2026-04-27
- 倒计时33天!2026二建万人模考卷免费领,冲刺提分必备资料包全解析2026-04-27
- 2026年二建题库:万人模考卷及分析(工程法规第二期)2026-04-25
- 2026年二级建造师案例核心50题PDF下载及使用指南2026-04-17
- 2026年二建全专业案例冲刺宝典:案例题核心50题PDF下载2026-04-17
- 2026年二级建造师案例题核心50题:实务通关的终极提分利器2026-04-17