2014年二建《建筑工程》能力检测(10)
第1题:某工程由I、Ⅱ、Ⅲ、Ⅳ四个施工过程组成,划分为四个施工段’流水节拍分别为3d、3d、6d、9d,组织成倍节拍流水施工,则该项目的工期为()d。
A.30
B.36
C.42
D.48
标准答案:A
第2题:工作E有四项紧前工作A、B、C、D,其持续时间分别为:A=3.B=5、C=6、D=4,其最早开始时间分别为:A一7、B=5、C一5、D-9,则工作B的自由时为()。
A.1
B.O
C.2
D.3
标准答案:D
工作的最早完成时间一工作最早开始时间十工作的持续时间
A工作的最早完成时间一7+3―10
B工作的最早完成时间一5+5=10
C工作的最早完成时间一5+6=11
D工作的最早完成时间一9+4=13
E工作的最早开始时间一max(紧前工作最早完成时间)
=max{10,10,11,13)=13
B工作的自由时差一紧后工作的最早开始时间一该工作的最早完成时间=13-10-3
第3题:工作A有三项紧后工作B、C、D,其持续时间分别为:B=6、C=8,D=7,LFB一14、LFC=16;LFD=14,则IFA()。
A.5
B.8
C.7
D.3
标准答案:C
答案解析:工作的最迟开始时间一工作的最迟完成时间一工作持续时间
B工作的最迟开始时间一14-6―8
C工作的最迟开始时间一16-8―8
D工作的最迟开始时间一14-7―7
A工作的最迟完成时间一mln{紧后工作的最迟开始时间)
=min{8,8,7)一7
第4题:双代号网络图的绘图应遵循()规则。
A.双代号网络图中,严禁箭线交叉
B.双代号网络图中,应只有一个起点节点
C.双代号网络图中,必须只有一个终点节点
D.双代号网络图中,严禁出现无箭头连线
E.双代号网络图中严禁出现无箭头节点的箭线
标准答案:B, D, E
答案解析:根据双代号网络图的绘图规则:
1)双代号网络图必须正确表达已定的逻辑关系;
2)双代号网络图中,严禁出现循环回路;
3)双代号网络图中,在节点之间严禁出现带双向箭头或没有箭头的连线;
4)双代号网络图中,严禁出现没有箭头节点或没有箭尾节点的箭线;
5)当双代号网络图的某些节点有多条外向箭线或多条内向箭线时,,可以使用母线画法;
6)双代号网络图中应只有一个起点节点;在不分期完成任务的网络图中,应只有一个终点节点;而其他节点应当是中间节点。
在不分期完成任务的网络图中,应只有一个终点节点,而不是网络图必须有一个终点节点,因此应选择B、D、E。
第5题:某分部工程双代号网络计划如下图所示,其作图错误包括()。
A.有多余虚工作
B.有多个终点节点
C.逻辑关系错误
D.节点编号有误
E.有多个起点节点
标准答案:A, D
答案解析:虚工作3一一2,箭头节点编号小于箭尾节点编号,不符合节点编号的原则,节点编号错误,7一一8工作为多余虚工作,应去掉。
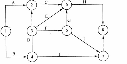
第6题:某工程的网络计划如下图所示:

问题:
(1)该网络计划中F工作的紧前工作有哪几项?工作C的紧后工作有哪几项?
(2)在该网络计划中,哪些工作的关系是平行关系?
(3)如果E工作的最早完成时间为23gH工作的最早完成时间为299G工作的最早完成时间是26,则该网络计划的计算工期为多少天?如果该工程无要求工期,则计划工期应为多少天?
(4)如果B工作的最迟完成时间是13,持续时间是59C工作的最迟完成时间是15,续时间是8,D工作的最迟完成时间是14,持续时间是6,则A工作的最迟完成时间是少?
标准答案:(1)F工作的紧前工作有B、C、D三项工作。工作C的紧后工作是F工作。
(2)在该网络计划中,B、C、D三项工作是平行关系。
(3)EFE=23,EFH=29,EFG=26,则计算工期=MAX{23,29,26)=29(D)
无要求工期时,计划工期=计算工期=29(D)
(4)LFB=13,DB=5,LSB=13―5=8
LFC=15,C=8,LSC=15―8=7
LFD=14,DD=6,LSD=14―6=8
LFA=MIN{8,7,8}=8
环球网校友情提示:如果您在此过程中遇到任何疑问,请登录环球网校二级建造师频道及论坛,随时与广大考生朋友们一起交流!
编辑推荐:
最新资讯
- 2026二级建造师题库推荐:环球网校快题库,二建备考高效助手2025-11-28
- 二级建造师免费题库软件:快题库使用指南2025-11-21
- 二建刷题哪个app好用?2026年备考就用它2025-09-19
- 2026二级建造师考试题库及答案:科学使用备考资源2025-09-19
- 2026二建市政实务基础自测卷你做了吗?开启备考第一步2025-08-14
- 2026年二建建筑实务自测模拟卷,看看你的基础有多少分?2025-08-14
- 2026年二建题库app哪个更好用,二建题库哪里免费?2025-07-21
- 2025年二建刷题哪个app好用?快题库好帮手2025-04-28
- 2025年二建考试题库免费做题!免费下载!2025-04-28
- 2025年二级建造师题库模拟试题各科汇总(免费下载+在线做题)2025-04-28
