2014二级建造师施工管理真题解析(word版)4
环球首发:2014二建真题解析|内部资料命中率
热点专题:2014年二建考试报名|准考证打印专题|合格证书专题
课程推荐:2015年二建VIP|2015二建精品VIP|2015二建全面领跑套
复习资料:二建历年真题
互动方式:二建微博|微信edu24ol_jzs2|二建论坛|QQ群178689578
31.施工合同实施偏差分析的内容包括:产生合同偏差的原因分析,合同实施偏差的责任分析以及( )。
A.不同项目合同偏差的对比
B.偏差的跟踪情况分析
C.合同实施趋势分析
D.也读对合同偏差的态度分析
答案:C
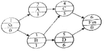
32.单代号网络计划如下图所示(时间单位:天)工作C的最迟开始时间是( )。

A.0
B.1
C.3
D.4
答案:D
33.根据《建设工程施工专业分包合同(示范文本)》(GF―2003―0213),不属于承包人责任
和义务的是( )。
A.组织分包人参加发包人组织的图纸会审,向分包人进行设计图纸交底
B.负责整个施工场地的管理工作,协调分包人与同一施工场地的其他分包人之间的交叉配合
C.负责提供专业分包合同专用条款中约定的保修与试车,并承担由此发生的费用
D.随时为分包人提供确保分包工程施工所要求的施工场地和通道,满足施工运输需要
答案:C
34.关于总价合同计量的说法,正确的是( )。
A.采用经审定批准的施工图纸及其预算方式发包形式的总价合同,其各项目的工程量是承包人用于结算的最终工程量
B.采用工程量清单方式招标形成的总价合同,其工程量必须以承包人实际完成的工程量确定
C.承包人不需要在每个计量周期向发包人提交已完成工程量报告
D.发包人应在收到工程量计量报告后14天内进行复核
答案:A
35.下列施工现场超噪声值的声源控制措施中,属于转移声源措施的是( )。
A.用电动空压机代替柴油机
B.在工厂车间生产制作门窗
C.在鼓风机进出风管处设置阻性消声器
D.装卸材料轻拿轻放
答案:B
36.编制施工机械台班使用定额时,可计入定额时间的是()。
A.因技术人员过错造成机械降低负荷情况下的工作时间
B.机械使用过程中进行的必要的保养所造成的中断时间
C.操作机械的工人违反劳动纪律所消耗的时间
D.施工组织不当造成的机械停工时间
答案:B
37.关于施工一般特种作业人员应具备条件的说法,正确的是()。
A.年满16周岁,且不超过国家法定退休年龄
B.必须为男性
C.连续从事本工种10年以上
D.具有初中及以上文化程度
答案:D
38.施工成本偏差的控制,其核心工作是()。
A.成本分析
B.纠正偏差
C.成本考核
D.调整成本计划
答案:B
39.下列施工方进度控制的措施中,属于技术措施的是()。
A.确定进度控制的工作流程
B.纠正偏差
C.选择合适的施工承发包方式
D.选择合理的合同结构
答案:B
40.对建设工程来说,新员工上岗前的三级安全教育具体应由()负责实施。
A.公司、项目、班组
B.企业、工区.施工队
C.企业、公司、工程处
D.工区、施工队、班组
答案:A

最新资讯
- 2026备考黄金资料:二建考试题真题及答案2026-04-07
- 二建历年真题及答案解析汇总(2017-2025)2025-12-31
- 二建历年真题做几年的 二建历年真题怎么用2025-08-29
- 二建历年真题及答案解析哪里能下载全科?2025-08-28
- 2026二建备考必刷!历年真题高效提分指南2025-08-21
- 二级建造师考试历年真题免费下载2025-08-19
- 二级建造师历年真题频道 全科真题免费下载2025-08-19
- 二建真题有用吗 备考二建如何高效利用历年真题2025-08-12
- 2026年二建精讲课:5+10小白速通宝典 精准提分,全程护航2025-07-22
- 二建历年真题有必要做吗?二建历年真题在哪里下载?2025-07-22