当前位置: 首页 > 二级建造师 > 二级建造师模拟试题 > 2015环球网校二建建筑模拟选择题及答案1

2015环球网校二建建筑模拟选择题及答案1

更新时间:2014-08-04 16:14:02 来源:|0 浏览0收藏0

二级建造师报名、考试、查分时间 免费短信提醒

地区

获取验证 立即预约

请填写图片验证码后获取短信验证码

看不清楚,换张图片

免费获取短信验证码

环球首发:2014二建真题解析|2015环球网校二建建筑模拟选择题及答案汇总

    1、某受压杆件,在支座不同、其他条件相同的情况下,其临界力最小的支座方式是 ( )。

  A.两端铰支

  B.一端同定,一端铰支

  C.两端固定

  D.一端固定,一端自由

  【答案】D

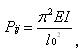
  【解析】因为不同支座情况的临界力的计算公式为:  , 称压杆的计算长度。当柱的一端固定一端自由时, ;两端固定时, ;一端固定一端铰支时, ;两端铰支时, 。经计算可得。

  2、 楼盖和屋盖采用钢筋混凝土结构,而墙和柱采用砌体结构建造的房屋属于( )体系建筑。

  A.混合结构

  B.框架结构

  C.剪刀墙

  D.桁架结构

  【答案】A

  【解析】混合结构房屋一般是指楼盖和屋盖采用钢筋混凝土或钢木结构,而墙和柱采用砌体结构建造的房屋,大多用在住宅、办公楼、教学楼建筑中。因为砌体的抗压强度篼而抗拉强度很低,所以住宅建筑最适合采用混合结构,一般在6层以下。

  3、在建筑结构中,从基础到上部结构全部断开的变形缝是( )。

  A.伸缩缝

  B.沉降缝

  C.防震缝

  D.温度缝

  【答案】B

  【解析】沉降缝的基础必须分开。

  4、配制厚大体积的普通混凝土不宜选用( )水泥。

  A.矿渣

  B.粉煤灰

  C.复合

  D.硅酸盐

  【答案】D

  【解析】对于配置厚大体积的普通混凝土,应优先选用矿渣水泥、火山灰水泥粉煤灰水泥、复合水泥,不宜选用硅酸盐水泥。

  5、水泥的初凝时间是指从水泥加水扦合起至水泥浆( )所需的时间。

  A.开始失去可塑性

  B.完全失去可塑性并开始产生强度

  C.开始失去可塑性并达到1.2MPa强度

  D.完全失去可塑性

  【答案】A

  【解析】水泥的凝结时间分初凝时间和终凝时间。初凝时间是从水泥加水拌合起至水泥浆开始失去可塑性所需的时间;终凝时间是从水泥加水拌合起至水泥浆完全失去可塑性并开始产生强度所需的时间。

  6、天然大理石饰面板材不宜用于室内( )。

  A.墙面

  B.大堂地面

  C.柱面

  D.服务台面

  【答案】B

  【解析】天然大理石板材是装饰工程的常用饰面材料。由于其耐磨性相对较差,虽也可用于室内地面,但不宜用于人流较多场所的地面。而大堂地面由于人员流动较多,因此不适用天然大理石板材。

  7、天然花岗石板材的技术要求包括规格尺寸、外观质量和物理力学性能。其中,物理力学性能的参数应包括(  )。

  A.体积密度、吸水率和湿压缩强度

  B.抗压、抗拉强度和弯曲强度

  C.体积密度、吸水率、干燥压缩强度、弯曲强度和镜面板材的镜向光泽值

  D.密度、抗压强度、吸水率和收缩率

  【答案】C

  【解析】天然花岗石板材物理力学性能的参数包括体积密度、吸水率、干燥压缩强度、弯曲强度和镜面板材的镜向光泽值。

  8、建筑型钢结构B类防火涂料的耐火极限可达( )h。

  A.0.5~1.0

  B.0.5~1.5

  C.0.5~2.0

  D.1.5~3.0

  【答案】C

  【解析】钢结构防火涂料按厚度分B、H 两类 (B-薄0.5-2h、H-厚0.5-3h)

  9、当建筑场地的施工控制网为方格网或轴线形式时,采用( )进行建筑物细部点的平面位置测设最为方便。

  A.直角坐标法

  B.极坐标法

  C.角度前方交会法

  D.距离交会法

  【答案】A

  【解析】当建筑场地的施工控制网为方格网或轴线形式时,采用直角坐标法进行建筑物细部点的平面位置测设最为方便。

  10、《建筑机械使用安全技术规程》(JGJ 33―2001)规定,两台以上推土机在同一地区作业时,前后距离最小应大于( )m。

  A.6

  B.7

  C.8

  D.9

  【答案】C

  【解析】推土机可以推挖一~四类土,多用于场地清理和平整、开挖深度1.5m以内的基坑。推土机开挖的基本作业是铲土、运土和卸土三个工作行程和空载回驶行程。几台推土机同时作业,前后距离应大于8m。

分享到: 编辑:环球网校

资料下载 精选课程 老师直播 真题练习
热门资讯

二级建造师资格查询

二级建造师历年真题下载 更多

二级建造师每日一练 打卡日历

0
累计打卡
0
打卡人数
去打卡

预计用时3分钟

环球网校移动课堂APP 直播、听课。职达未来!

安卓版

下载

iPhone版

下载

返回顶部