2006年房地产估价师考试《房地产开发经营与管理》参考答案
一、单项选择题
01.B 02.B 03.C 04.B 05.A
06.C 07.D 08.A 09.B 10.B
11.D 12.D 13.B 14.B 15.C
16.A 17.C 18.A 19.A 20.C
21.C 22.C 23.C 24.B 25.A
26.C 27.C 28.D 29.B 30.A
31.C 32.A 33.B 34.D 35.B
二、多项选择题
1.CD 2.ACD 3.BCD 4.CDB 5.BDE
6.BD 7.ACE 8.ABCE 9.ACDE 10.ADE
11.ABCE 12.BCDE 13.ABCDB 14.ABC 15.BCE
三、判断题
1.√ 2.× 3.√ 4.× 5.√
6.√ 7.× 8.× 9.√ 10.√
11.√ 12.× 13.× 14.× 15.×
四、计算题
1.(1)月还款额=7000×25%=1750元,月利率=6%/12=0.5%
购买住房最高额=(1750/0.5%)×[1-(1/(1+0.5%)240)]/70%=348951.93
(2)月利率=9%/12=0.75%按6%利率计算第6年年初还剩的货款总额=1750/0.5%×[1-(1/(1+0.5%)180)]=207381.15
按9%利率计算月还款1750元相当的货款总额=1750/0.75%×[1-(1/(1+0.5%)180)]=172538.47
则第6年年初需要一次性还款额=207381.15-172538.47=34842.68元
(3)若保持1750的月还款额不变,需要偿还的年限为n
34842.68×(1+0.075%)180 =(1750%/0.75%)×[1-(1/(1+0.75%)12n)]=(1+0.075%)12n=1.7973
当n=7时,1.007584=1.8732当
n=6时,1.007572=1.7125
则n=6+1.7973-1.7125/1.8732-1.7125=6.53年
2.自有资金投入总额=35000×35%=12250万元
第一年初投入9000万元;
第二年初投入13250万元,其中3250万元为自有资金,10000万元贷款;
第二年末收入7750万元,全部与第三年初投入,因此第三年初贷款额=12750-7250= 5500万元;
第三年末收入12600万元,全部与第四年初用于偿还贷款;
第四年末收入21650万元,足以偿还剩余贷款,并有余额;
第五年末开始每年收入3000×90%×5000×(1-20%)=1080万元租金;
第四十年末,最后一年收入租金后,剩余残值20万元。
(1)第四年初偿还贷款时,贷款本息合计10000×(1+10%)2+5000×(1+10%)=17600万元还款12600万元,仍需偿还5000万元。
第五年初偿还剩余贷款5000×(1+10%)=5500万元
因此借款计划为第二年初借款10000万元,第三年初借款5000万元。
还款计划为第四年初偿还12600万元,第五年初偿还剩余5500万元。
(2)制作全部投资现金流量表
|
|
0 |
1 |
2 |
3 |
4 |
5 |
6 |
7 |
… |
40 |
|
+ |
|
|
|
12600 |
21650 |
1080 |
1080 |
1080 |
|
1100 |
|
- |
9000 |
13250 |
5000 |
|
|
|
|
|
|
|
|
NPV |
-9000 |
-13250 |
-5000 |
12600 |
21650 |
1080 |
1080 |
1080 |
|
1100 |
当i1=15%时,

当i2=16%时,
i1NPV2=-398.6448用插值法求的FIRR=15.53%
(3)制作自有资金现金流量表
|
|
0 |
1 |
2 |
3 |
4 |
5 |
6 |
7 |
… |
40 |
|
+ |
|
|
|
12600 |
21650 |
1080 |
1080 |
1080 |
|
1100 |
|
- |
9000 |
3250 |
|
12600 |
5500 |
|
|
|
|
|
|
NPV |
-9000 |
-3250 |
0 |
0 |
16150 |
1080 |
1080 |
1080 |
|
1100 |
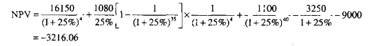
按25%报酬率计算,

最新资讯
- 2025年房地产估价师四科真题及解析2025-11-13
- 房地产估价师2025年真题及答案更新:四科2025-11-13
- 2025年房地产估价师考试试卷真题及答案(房估实务+土估实务)2025-11-12
- 2025年房地产估价师考试试卷真题答案(4科目全)2025-11-12
- 2025年房地产估价师考试真题与答案解析:各个科目汇总2025-11-12
- 2025年房地产估价师真题答案解析:法规政策2025-11-11
- 2025年房地产估价师考试试卷真题答案解析:房地产估价原理与方法2025-11-11
- 2025房地产估价师真题答案更新:房地产估价基础与实务2025-11-11
- 2025年房地产估价师真题及答案解析:土地估价基础与实务2025-11-11
- 有更新!2025年房地产估价师《房地产估价基础与实务》真题答案解析2025-11-10