2004年房地产估价师考试《房地产估价理论与方法》参考答案
一、单选题
1.C 2.D 3.C 4.C. 5.B 6.D 7.C 8.C 9.D 10.A
11.C 12.C 13.C 14.C 15.D 16.D 17.C 18.D 19.B 20.C
21.C 2.B 23.C 24.C 25.B 26.D 27.B 28.B 29.C 30.B
31.B 32.C 33.B 34.B 35.D
二、多选题
1.BCD 2.AC 3.DE 4.ACE 5.BCDE 6.ABC 7.ABDE 8.ABCD 9.ABD 10.ABC
11.ABCE 12.DE 13.ABDE 14.ACE 15.BC
三、判断题
1.√ 2.× 3.× 4.√ 5.× 6.√ 7.√ 8.√ 9.× 10.×
11.√ 12.× 13.√ 14.√ 15.×
四、计算题
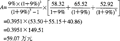
1.解:
(1)计算未来3年的净利益。
1)未来第一年的净收益(360-36)×)1-20%)×)1-25%)×3000=-58.32万元
2)未来第二年的净收益(400-36)×(1-20%)×(1-25%)×3000=-65.52万元
3)未来第三年的净收益(330-36)×(1-20%)×(1-25%)×3000=52.92万元
(2)用未来数据资本化公式法计算每年不变的净利益。

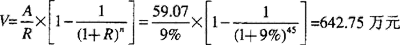
(3)计算收益价格。
或:

2.解:
第一种答案:
(1)项目总建筑面积:
1.2×10000×2.5=30000m2
其中,住宅楼总建筑面积15000m2,写字楼总建筑面积15000m2。
(2)房地产开发项目总价值及折现值。
1)住宅楼价值:5000×15000=7500万元
住宅楼价值折现到办理完土地使用权出让手续时点(第一年末)的折现值:
7500/(1+10%)3=5634.86万元
2)写字楼价值。
①写字楼年租金收入=120×15000×70%×(1-20%)×12=1209.6万元
②写字楼押金:1209.6×30%=362.88万元
③写字楼押金运用年收益:362.88×3%=10.89万元
④有关税费和经营管理费用:1209.6×30%=362.88万元
⑤租赁净收入:1209.6+10.89-362.88=857.61万元
⑥写字楼价值:
⑦写字楼折现到第1年末折现值=8478.86/(1+10%)3=6370.29万元
3)项目总价值折现值:5634.86+6370.29=12005.15万元
(3)项目开发成本、管理费用及其折现值。
1)住宅楼部分:1800×15000×(1+5%)=2835万元
写字楼部分:2800>(15000×(1+5%)=4410万元
2)住宅楼开发成本及管理费折现值:
2835×[0.5/(1+10%)0.5+0.5/(1+10%)1.5]=2580.13万元
3)写字楼开发成本及管理费用折现值:
4410×[0.5/(1+10%)1.5+0.5/(1+10%)2.5]=3648.76万元
4)项目开发成本及管理费用折现值:
2580.13+3648.76=6228.89万元
(4)住宅楼销售税费及折现值。
1)住宅楼销售税费:7500×6%=450万元
2)住宅楼销售税费折现值:450/(1+10%)3=338.09万元
(5)所能支付的最高土地价格=(总价值-住宅楼销售税费-开发成本及管理费用)(1+3%)
=(12005.15-338.09-6228.89)/(1+3%)
=5279.78万元
第二种答案:
(I)项目总建筑面积:
1.2×10000×2.5=30000m2
其中,住宅楼总建筑面积15000m2,写字楼总建筑面积15000m2
(2)房地产开发项目总价值及折现值。
1)住宅楼价值:5000×15000=-7500万元
2)写字楼价值
①写字楼年租金收入=120×15000×70%×(1-20%)×12=1209.6万元
②写字楼押金:1209.6×30%=362.88万元
③写字楼押金运用年收益:362.88×3%=10.89万元
④有关税费和经营管理费用:1209.6×30%=362.88万元
⑤租赁净收入:1209.6+10.89-362.88=857.61万元
⑧写字楼价值:
3)项目总价值折现值:7500+8478.86=15978.86万元
(3)项目开发成本、管理费用及其折现值。
1)住宅楼部分:1800×15000×(1+5%)=2835万元
写字楼部分:2800×15000×(1+5%)=4410万元
2)住宅楼开发成本及管理费折现值:
2835×[0.5×(1+10%)2.5+0.5×(1+10%)1.5]=3434.25万元
3)写字楼开发成本及管理费用折现值:
4410×[0.5×(1+10%)1.5+0.5×(1+10%)0.5]=4856.51万元
4)项目开发成本及管理费用折现值:
3434.25+4856.51=8290.76万元
(4)住宅楼销售税费及折现值。
住宅楼销售税费:7500×6%=450万元
(5)所能支付的最高土地价格。
1)4年末地价=(总价值-住宅楼销售税费-开发成本及管理费用)
=15978.86-450-8290.76
=72381万元
2)贴现:
7238.1/(1+10%)3=5438.09万元
3)地价款=5438.09/(1+3%)=5279.70万元
最新资讯
- 2025年房地产估价师四科真题及解析2025-11-13
- 房地产估价师2025年真题及答案更新:四科2025-11-13
- 2025年房地产估价师考试试卷真题及答案(房估实务+土估实务)2025-11-12
- 2025年房地产估价师考试试卷真题答案(4科目全)2025-11-12
- 2025年房地产估价师考试真题与答案解析:各个科目汇总2025-11-12
- 2025年房地产估价师真题答案解析:法规政策2025-11-11
- 2025年房地产估价师考试试卷真题答案解析:房地产估价原理与方法2025-11-11
- 2025房地产估价师真题答案更新:房地产估价基础与实务2025-11-11
- 2025年房地产估价师真题及答案解析:土地估价基础与实务2025-11-11
- 有更新!2025年房地产估价师《房地产估价基础与实务》真题答案解析2025-11-10