环保工程师-颗粒污染物:性能指标和分类
更新时间:2010-09-02 18:09:33
来源:|0
浏览
收藏
环保工程师报名、考试、查分时间 免费短信提醒
三、粉尘装置的性能指标(重点)和分类
气体中固体或液体颗粒的去除是通过除尘器来完成的。除尘器的优劣常采用技术指标和经济指标来评价。技术指标主要包括含尘气体处理量、除尘效率和压力损失等。经济指标主要包括一次性投资和运行费用。除尘器的技术指标主要表现在以下几个方面:
1.含尘气体处理量(重点)
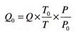
含尘气体处理量是衡量除尘器处理能力的重要指标,一般用工况体积流量表示除尘器人口风量加上设备漏风量。针对具体行业要参照行业的设计规范。
当工况风量换算成标准状态下风量时,方法如下:
![]()
式中:QO、TO、Po、一一一标准状态下的流量(m/S)、温度(K)、绝对压力(P。);Q、T、P——工况状态下的流量(m3/s)、温度(K)、绝对压力(Pa)。
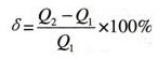
2.漏风率
由于加工或操作的原因,会出现进口气体量与出口气体量不同的现象,这是由于漏风造成的,一般用漏风率δ来表示除尘器的严密程度。
计算公式如下:

式中:δ——漏风率,%;
QI、Q2------进口气体量与出口气体量的流量,m3/S。
编辑推荐
下一篇:环保工程师-颗粒污染物:除尘效率
最新资讯
- 26年环保工程师水污染防治高频考点:活性污泥法与生物脱氮工艺2025-12-18
- 2025年注册环保工程师核心考点【专业知识】2025-10-20
- 2025年注册环保工程师核心考点【基础知识】2025-10-17
- 2025年注册环保工程师重点考点【专业知识】2025-10-16
- 2025年环保工程师基础考试重点:基础考试核心考点汇总2025-10-14
- 2025年注册环保工程师考试知识点:考试常考知识点汇总2025-10-13
- 2025年注册环保工程师重点笔记:重点内容整理与笔记使用2025-10-11
- 2025年注册环保工程师考试重点:全科目考试核心重点梳理2025-10-10
- 2025年环保工程师基础考试知识点:基础考试涉及知识点2025-10-09
- 2025年注册环保工程师(专业知识)考点复习2025-09-29