环保工程师-颗粒污染物:除尘效率
更新时间:2010-09-02 18:16:41
来源:|0
浏览
收藏
环保工程师报名、考试、查分时间 免费短信提醒
3.除尘效率
除尘效率是表示除尘器净化性能的重要技术指标。
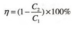
(1)除尘器全效率g(%)
除尘器的全效率是指在同一时间内除尘器捕集的粉尘质量占进入除尘器的粉尘质量的百分数,用η表示。根据除尘效率的定义,除尘效率表示式为:

若装置不漏风,自额进出口状态相同,Q1=Q2,于是有:

(2)通过率P(%)
通过率是指在同一时间内,穿过除尘器的粒子质量与进入的粒子质量的比,一般用P(%)表示。

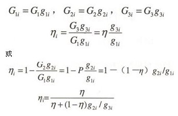
(3)分级效率
全效率表示除尘装置的整体效果或平均效果。净化装置对不同粒径的粉尘的净化效果,为了表示除尘效率与粉尘粒径的关系,提出分级效率的概念。
若设除尘器进口、出日和捕集的dpi;颗粒质量流量分别为Gli\G2i和G3i,则该除尘器.颗粒的除尘效率为:

对于分级效率,一个非常重要的值是分级效率ηi=50%,与此值相对应的粒径称为除尘的分割粒径,一般用dc表示。分割粒径dc在讨论除尘器性能时经常用到。
(4)分级效率与全除尘效率之间的关系
①由全效率求分级效率
在除尘器测试中,只要测出除尘器进口和出日的粉尘浓度C1和C2,就可以计算出全除尘效率η。如果需要求出各粒级的分级效率,就必需同时测出除尘器进口、出日和捕集的粉尘质量频率。由质量频率定义式和分级效率定义式有。

可以根据实际测定的数据分别选取上面公式,计算分级除尘效率
②由分级效率求全效率
设备设计计算中,常常遇到根据某种除尘器净化某类粉尘的分级效率数据和某粉尘的粒径分布数据,计算所设计的除尘器净化该粉尘所能达到的全效率。
编辑推荐
最新资讯
- 26年环保工程师水污染防治高频考点:活性污泥法与生物脱氮工艺2025-12-18
- 2025年注册环保工程师核心考点【专业知识】2025-10-20
- 2025年注册环保工程师核心考点【基础知识】2025-10-17
- 2025年注册环保工程师重点考点【专业知识】2025-10-16
- 2025年环保工程师基础考试重点:基础考试核心考点汇总2025-10-14
- 2025年注册环保工程师考试知识点:考试常考知识点汇总2025-10-13
- 2025年注册环保工程师重点笔记:重点内容整理与笔记使用2025-10-11
- 2025年注册环保工程师考试重点:全科目考试核心重点梳理2025-10-10
- 2025年环保工程师基础考试知识点:基础考试涉及知识点2025-10-09
- 2025年注册环保工程师(专业知识)考点复习2025-09-29