结构工程师基础科目一考试访真试题1
1.下列关于计算机存储器的叙述是错误的?$lesson$
A 任何计算机都必须要有内存储器
B ROM、RAM都是内存储器
C CD-ROM是外存储器的一种
D CPU可以直接访问硬盘
2.不允许出现无名公用区的程序块是:
A 数据块子程序
B 函数子程序
C 子例行程序
D 主程序
3.当a=4,执行完下列语句后,b的值为:
if(a.gt.3) then
if (a .eq. 3)b =3
b =2
else if (a. lt . 4) then
b = 1
if ( a .eq .4) b =4
endif
(A) 4 (B) 3 (C) 2 (D) 1
4.对于INTEGER A(2,2),下列答案中能达到完全相同的输入效果的一对是:
(1) read (*, *) A (1, 1), A (1, 2) , A (2, 1), A (2, 2,)
(2 ) read (*, *) A
(3 ) do 10 I =1, 2
do 10 J =1, 2
10 read (*, *) A (J, I )
(4 ) read (*, * ) ( (A (I ,j ), J= 1, 2 ), I= 1 , 2 )
(A) ( 1 )和( 2 ) (B) ( 1 ) 和 ( 3 )
(C) ( 1 ) 和 ( 4 ) (D) ( 3 ) 和 ( 4 )
5. 下列程序的输入结果为:
common T (4)
data T/1.0, 2.0, 3.0, 4.0/
external P
call sub ( 3, 4, P, m )
write ( *, * ) m
end
subroutinue sub (m, n, t, k)
k = t (m) + t (n)
end
(A) 18.0 (B) 7.0 (C) 7 (D) 18
6. 设ωi是用f(x)的(n
的数值求积公式的求积系数,即:
,则有:
7.解非线性方程f(x)=0的牛顿-雷扶生(Newton-Raphson)迭代方法在单根x*附近具有:
(A)平方收敛 (B)线性收敛(C)3阶收敛 (D)非局部线性收敛
8.若A为下列何项,则A一定右以分解为A=LLT,其中L为非奇异下三角阵。
(A)对称正定阵 (B)非奇异矩阵(C)对称阵 (D)按行严格对角占优阵
9.设数表
x 0 1 2 3 P(x) 1 3 9 19
取自某多项式P(x),则由此表可确定该多项式P(x)的次数为:
(A) 1次 (B) 2次(C) 3次 (D)4次
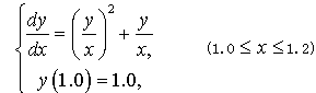
10. 用欧拉(Euler)方法解常微分方程初值问题
取h = 0.1 , 则在节点x2 = 1.2 处的数值解为:
(A)1.1281 (B) 1.2281 (C) 1.3281 (D) 1.4281
?08年考试规范、标准: 2008年一级注册结构工程师考试成绩查询汇总
最新资讯
- 2025年二级结构工程师真题及答案解析,真题试卷(上午+下午)免费下载2025-11-17
- 2025年二级注册结构工程师考试真题试卷(上午+下午)免费下载2025-11-17
- 2025年二级结构工程师真题试卷(下午)免费下载,核心考点与备考策略2025-11-17
- 2025年二级结构工程师真题试卷(上午)免费下载,真题解析与备考指南2025-11-17
- 2025年一级注册结构工程师专业考试真题(完整版下载)2025-11-13
- 2025注册结构工程师考试真题权威发布!速来下载对答案+高效估分攻略2025-11-07
- 必刷!一级结构工程师基础考试历年真题精析+高频考点突破2025-11-07
- 2025年一级注册结构工程师真题免费下载2025-11-06
- 2025年二级结构工程师考试真题:命题趋势与备考策略2025-11-06
- 2025注册结构工程师基础考试真题解析:高频考点与实战提分指南2025-11-05