结构工程师基础科目一考试访真试题2
更新时间:2009-10-19 15:27:29
来源:|0
浏览
收藏
结构工程师报名、考试、查分时间 免费短信提醒
摘要 结构工程师基础科目一考试访真试题
11. 联结三个刚片的铰结点,相当的约束个数为:
(A)2个 (B)3 个 (C)4个 (D)5个
12.叠加原理用于求解静定结构的位移时,需要满足条件是:
(A)位移微小且材料是线弹性的(B)位移是微小的(A)应变是微小的 (D)材料是线弹性的
13.作用于静定多跨梁基本部分的荷载在附属部分上
(A)绝对不产生内力 (B)一般不产生内力(C)一般会产生内力(D)一定会产生内力
15.图中取A支座反力为力法的基本未知量X1 (向上为正),则X为:
A、 3P/16 B、4P/
16.超静定结构在温度变化和支座移动作用下的内力和位移计算中,各杆的刚度应为:
(A) 均用相对值(B) 均必须用绝对值
(C) 内力计算用相对值,位移计算用绝对值
(D) 内力计算用绝对值,位移计算用相对值
17.图示结构用位移法计算时最少的未知数为:
(A) 1(B) 2(C) 3(D) 4
18.图示结构EI为常数,用力矩分配法计算时,分配系数
(A)4/11 (B)5/12 (C)1/8 (D)
19.单位移动荷载通过一串简支小梁及其结点间接作用于主梁,则主梁影响线在各结点间:
(A)部分为直线,部分为直线 (B)均为曲线(C)均为直线 (D)竖标为零
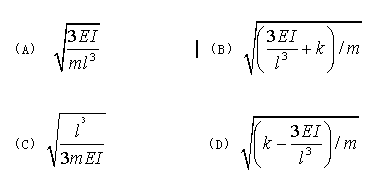
20.图示体系的自振频率为:
?08年考试规范、标准: 2008年一级注册结构工程师考试成绩查询汇总
编辑推荐
最新资讯
- 2025年二级结构工程师真题及答案解析,真题试卷(上午+下午)免费下载2025-11-17
- 2025年二级注册结构工程师考试真题试卷(上午+下午)免费下载2025-11-17
- 2025年二级结构工程师真题试卷(下午)免费下载,核心考点与备考策略2025-11-17
- 2025年二级结构工程师真题试卷(上午)免费下载,真题解析与备考指南2025-11-17
- 2025年一级注册结构工程师专业考试真题(完整版下载)2025-11-13
- 2025注册结构工程师考试真题权威发布!速来下载对答案+高效估分攻略2025-11-07
- 必刷!一级结构工程师基础考试历年真题精析+高频考点突破2025-11-07
- 2025年一级注册结构工程师真题免费下载2025-11-06
- 2025年二级结构工程师考试真题:命题趋势与备考策略2025-11-06
- 2025注册结构工程师基础考试真题解析:高频考点与实战提分指南2025-11-05