2010年结构工程师备考:例题(15)方法二
[方法二] 解析法
(1)对象 取不包括液压简的系统为研究对象。
(2)受力分析 作用于系统上的主动力有w、P。
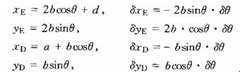
(3)选广义坐标和坐标轴。本系统具有一个自由度,取角θ为广义坐标,并选固定点O为原点建立直角坐标系Oxy,如图4—3—46(b)所示。
(4)将各主动力作用点的坐标用广义坐标θ表示,并对各坐标进行变分运算,找出各主动力作用点坐标变分与δθ间关系。
设BE=d,OC=a,则有

(5)将主动P、W在直角坐标轴上投影
![]()
(6)列直角坐标形式的虚位移原理求解

或

因为δθ≠0故得
![]()
即

可见,两种方法求得的结果相同。
=============================64.1
[例4—3—17] 组合梁结构受荷载情况如图4—3—47所示。已知P1=10kN,P2=15kN,M=40kN·m,q=1.6kN/m。试求固定端A的约束反力。
[解] 系统为静定结构,没有自由度,是不能动的。为了求约束反力,须将相应约束解除以相应约束反力代替,并视约束反力为主动力P。这样,系统就有了自由度,允许有虚位移,即可根据虚位移原理求出相应的约束反力。
首先解除支座A的转动约束,代以反力偶MA,将固端支座改为铰支座。此时AB可绕A转动,DC杆绕D转动,BC杆作平面运动。
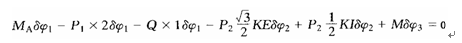
设AB杆有一虚位移δφ1,相应地CD杆有δφ3,BC杆的瞬心为I,虚位移为δφ2。于是得图4-3-47(b)所示的虚位移图。
根据虚位移原理有:

这里所计算的虚功,全用力矩之功来计算。为求MA需找出虚位移δφ2、δφ3与δφ1的关系。

其中用到几个尺寸由几何关系求得,即
KI=1.6,KE=1.2
将δφ2、δφ3代人方程,并注意到Q=2×q=3.2kN,可得

因为δφ1≠0,故得
![]()
其次,解除支座A的铅垂约束,代以对应的铅垂反力YA,并将该力视为主动力;将支座A改造如图4—3—47(c)所示,此支座表示既不能水平移动,又不能转动。
刚架原是静定结构,当A处铅垂约束去掉后,刚架具有一个自由度,允许有虚位移。
此时,AB杆可作平动,BC杆作平面运动、其瞬心与C重合,故CD杆不动。给A点一虚位移δrA,则δrB=δrA,由虚功方程
![]()
因δrA≠0,故得

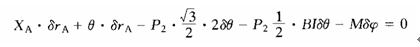
最后,解除支座A的水平约束,代以相对应的约束反力XA,并将该力视为主动力;将支座A改造为如图4—3—43(d)所示,此支座表示既不能铅垂移动,又不能转动。
解除支座丑的水平约束后,系统有一个自由度。此时,AB杆可作平动,CD杆绕D转动,BC杆作平面运动,其瞬心为I点,如图4—3—47(d)所示。
给AB杆一虚位移δrA,相应地BC杆、CD杆分别有虚位移δθ和δφ。列出虚功方程

其中

![]()
因为δrA≠0,故得
XA=17.547kN
2010年注册结构工程师考试报名时间信息汇总
结构工程师基础科目(一)考试普通化学练习题汇总
2010年结构师考试9月18、19日
更多信息请访问:结构工程师频道 结构工程师论坛
最新资讯
- 2025年一级注册结构工程师考前实战试题解析:突破考试瓶颈的终极指南‌2025-10-13
- 2025年一级注册结构工程师常考知识点2025-02-17
- 2025年二级注册结构工程师高频知识点2025-02-17
- 2024年度二级注册结构工程师专业考试资料:规范、标准、规程2024-08-13
- 2024年度一级注册结构工程师专业考试资料:规范、标准、规程2024-08-13
- 环球网校双11预售开启!定金百倍膨胀,直播再返现金2023-10-25
- 环球网校结构工程师双11活动来啦,限时优惠!2023-10-25
- 注册结构工程师考试大纲下载2023-05-16
- 2023年一级注册结构工程师考试大纲内容2023-04-14
- 2023年结构工程师教材内容变动对比2023-04-10