结构工程师模拟题:常用简单图形的惯矩
更新时间:2010-06-28 08:50:24
来源:|0
浏览
收藏
结构工程师报名、考试、查分时间 免费短信提醒
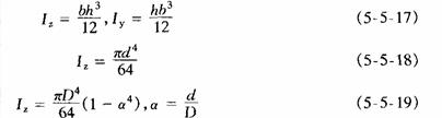
一、 常用简单图形的惯矩(图5-5—5)
5-5-17为矩形,5-5-18为圆形,5-5-19为空心圆截面


[例5-5-1] 试求图5-5-8所示截面图形的形心主惯性矩。
[解] y轴为图形的对称轴,故为形心主轴之一。
1.求形心C
图5-5-8所示截面可看作由矩形I和矩形Ⅱ组成。其面积各为
AI=200×50=10000mm2
AⅡ=50×150=7500mm2
以z1轴为参考坐标,则
![]()
过形心C作垂直y轴的z轴,则y、z轴即为形心主轴。

2.求形心主惯性矩

2010年注册结构工程师考试报名时间信息汇总
结构工程师基础科目(一)考试普通化学练习题汇总
2010年结构师考试9月18、19日
更多信息请访问:结构工程师频道 结构工程师论坛
编辑推荐
最新资讯
- 2025年二级结构工程师考试都是选择题吗?题型分布与备考策略全解析2025-10-30
- 2025年一级注册结构工程师模拟题终极指南:高效备考冲刺全攻略2025-10-30
- 2025年二级结构工程师专业考试模拟题解析,免费下载!备考冲刺必备资料2025-10-29
- 注册结构工程师模拟考试题2023-04-23
- 一级注册结构工程师模拟题下载2023-04-21
- 一级注册结构工程师模拟题2023-04-20
- 2022年一级注册结构工程师试题2022-04-11
- 2021年注册结构工程师考前复习练习题汇总(含模拟题、历年真题)2021-09-28
- 2021年二级注册结构工程师专业考试冲刺试题及答案(十)2021-09-16
- 2021年二级注册结构工程师专业考试冲刺试题及答案(九)2021-09-15