结构工程师模拟题:特殊截面上的剪力、弯矩值(1)
更新时间:2010-06-28 09:10:39
来源:|0
浏览
收藏
结构工程师报名、考试、查分时间 免费短信提醒
一、 特殊截面上的剪力、弯矩值
(一)在集中力作用的截面处,V图有突变,M图形成尖角。突变值等于集中力的大小,突变方向与集中力作用方向一致。
(二)在集中力偶作用处,V图无变化,但M图有突变。其突变值等于该力偶之矩,突变方向看该力偶对后半段梁的影响,即该力偶对后半段梁为产生正弯矩,则向正方向突变,否则反之。
现将上节和本节中有关弯矩、剪力与荷载间的关系以及剪力图和弯矩图的一些特征汇总整理为表5-6-1,以供参考。

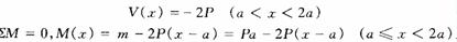
[例5-6—1] 图5—6—2所示悬臂梁,承载如图。试列出剪力方程、弯矩方程并作V、M图。

[解] 因梁上荷载不连续故需分段列方程。
用任意截面nn截开梁,取左部为脱离体,如图(b)所示。由∑Y=0,

同理用任意截面kk截开梁,取左部为脱离体如图(c)所示。由∑Y=0,
![]()
根据剪力方程、弯矩方程作图。对于线性方程只需算出各段的端值然后连直线即可。
V、M图如图(d)、(e)所示。
2010年注册结构工程师考试报名时间信息汇总
结构工程师基础科目(一)考试普通化学练习题汇总
2010年结构师考试9月18、19日
更多信息请访问:结构工程师频道 结构工程师论坛
编辑推荐
最新资讯
- 2025年二级结构工程师考试都是选择题吗?题型分布与备考策略全解析2025-10-30
- 2025年一级注册结构工程师模拟题终极指南:高效备考冲刺全攻略2025-10-30
- 2025年二级结构工程师专业考试模拟题解析,免费下载!备考冲刺必备资料2025-10-29
- 注册结构工程师模拟考试题2023-04-23
- 一级注册结构工程师模拟题下载2023-04-21
- 一级注册结构工程师模拟题2023-04-20
- 2022年一级注册结构工程师试题2022-04-11
- 2021年注册结构工程师考前复习练习题汇总(含模拟题、历年真题)2021-09-28
- 2021年二级注册结构工程师专业考试冲刺试题及答案(十)2021-09-16
- 2021年二级注册结构工程师专业考试冲刺试题及答案(九)2021-09-15