结构工程师:平面弯曲杆件横截面上的正应力
更新时间:2010-06-28 09:42:24
来源:|0
浏览
收藏
结构工程师报名、考试、查分时间 免费短信提醒
平面弯曲杆件横截面上的正应力
分布规律 正应力的大小与该点至中性轴的垂直距离成正比,中性轴一侧为拉应力, 另一侧为压应力,如图5—7—1(a)。


计算公式
任一点应力
![]()
最大应力
![]()
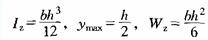
式中 M为所求截面的弯矩,Iz为截面对中性轴的惯性矩,Wz为抗弯截面系数。 Wz是一个只与横截面的形状及尺寸有关的几何量。对于矩形截面:
![]()
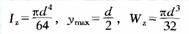
对于圆形截面:
![]()
其余Wz按式Wz=Iz/ymax计算。
讨论:1,公式适用于线弹性范围、且材料在拉伸和压缩时弹性模量相等情况。
2.在纯弯曲时,横截面在弯曲变形后保持平面,公式为 精确解;横力弯曲时,由于剪应力的存在,横截面发生翘曲,但精确研究指出,工程实际中的梁,只要跨度与截面高度之比L/h>5,纯弯曲时的正应力公式仍适用。
(四)梁的正应力强度条件
强度条件 梁的最大工作正应力不得超过材料的许用正应力,即
![]()
注意,当梁内σtmax≠σcmax,且材料的[σt]≠[σc]时,梁的拉伸与压缩强度均应得到满足。
2010年注册结构工程师考试报名时间信息汇总
结构工程师基础科目(一)考试普通化学练习题汇总
2010年结构师考试9月18、19日
更多信息请访问:结构工程师频道 结构工程师论坛
编辑推荐
最新资讯
- 2025年一级注册结构工程师考前实战试题解析:突破考试瓶颈的终极指南‌2025-10-13
- 2025年一级注册结构工程师常考知识点2025-02-17
- 2025年二级注册结构工程师高频知识点2025-02-17
- 2024年度二级注册结构工程师专业考试资料:规范、标准、规程2024-08-13
- 2024年度一级注册结构工程师专业考试资料:规范、标准、规程2024-08-13
- 环球网校双11预售开启!定金百倍膨胀,直播再返现金2023-10-25
- 环球网校结构工程师双11活动来啦,限时优惠!2023-10-25
- 注册结构工程师考试大纲下载2023-05-16
- 2023年一级注册结构工程师考试大纲内容2023-04-14
- 2023年结构工程师教材内容变动对比2023-04-10