当前位置: 首页 > 结构工程师 > 结构工程师模拟试题 > 注册结构工程师模拟试题(1):弯曲中心的概念

注册结构工程师模拟试题(1):弯曲中心的概念

更新时间:2010-06-29 08:57:02 来源:|0 浏览1收藏0

结构工程师报名、考试、查分时间 免费短信提醒

地区

获取验证 立即预约

请填写图片验证码后获取短信验证码

看不清楚,换张图片

免费获取短信验证码

  四、弯曲中心的概念

  横向力作用下,梁分别在两个形心主惯性平面xy和xz内弯曲时,横截面上剪力Vy和Vz作用线的交点,称为截面的弯曲中心,也称为剪切中心。

  当梁上的横向力不通过截面的弯曲中心时,梁除了发生弯曲变形外还要发生扭转变形。

  弯曲中心是截面几何性质之一,仅与截面的几何形状有关,而与荷载大小和材料性质无关。

  若截面具有一对称轴,则弯曲中心必在截面的对称轴上。若截面具有两个对称轴,其交点即为弯曲中心。T形、L形等狭长矩形组成的截面,两个狭长矩形中线的交点即为截 面的弯曲中心。

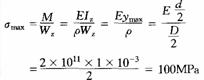
  [例5-7-1] 把直径d二lmm的钢丝绕在直径D;2m的卷筒上,如图5-7-4所示,试求钢丝中产生的最大正应力。设钢丝的弹性模量E=2×105MPa。

  [解] 由曲率与弯矩间的关系

  则

  所以钢丝中的最大正应力为

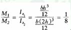
  [例5-7-2] 图5-7-5所示两梁材料相同,当两梁各对应截面转角相等时,试问两梁横截面上最大正应力之比为多少?

 

  [解] 由对应截面的转角相等,即θ1=θ2

  得

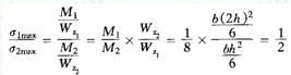
  即

 

  则得

  所以两梁的最大正应力之比为

2010年注册结构工程师考试报名时间信息汇总
 结构工程师基础科目(一)考试普通化学练习题汇总
2010年结构师考试9月18、19日

更多信息请访问
结构工程师频道    结构工程师论坛

分享到: 编辑:环球网校

资料下载 精选课程 老师直播 真题练习

结构工程师资格查询

结构工程师历年真题下载 更多

结构工程师每日一练 打卡日历

0
累计打卡
0
打卡人数
去打卡

预计用时3分钟

结构工程师各地入口
环球网校移动课堂APP 直播、听课。职达未来!

安卓版

下载

iPhone版

下载

返回顶部