结构工程师模拟题:特殊截面上的剪力、弯矩值(3)
更新时间:2010-06-28 09:28:39
来源:|0
浏览
收藏
结构工程师报名、考试、查分时间 免费短信提醒
[例5-6-3] 根据弯矩、剪力和荷载集度间的关系作图5-6-6所示梁的剪力图和弯矩图。

[解] 首先求支座反力(悬臂梁可以不求)
Rb=4kN(↑) MB=4kNm(顺时针)
根据q、V、M关系作V、M图通常步骤为
1.分段 根据梁上荷载不连续点(集中力,集中力偶作用处,分布荷载起讫点)为界点。
2.定形 根据各段荷载情况,定出V、M图形状。
3.定控制截面V、M值
用截面法

或用积分关系式

本例题的分段和定V、M形状情况见下表。

有关控制截面值确定如下:
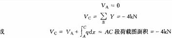
V图 AC段定两个控制截面值

CB段 定一个控制截面值
Vc=已求出
M图 AC段 只少定三个控制截面值

因为A截面处V=0,M有极值,即为抛物线顶点。
CB段 只要定二个控制截面值
因C截面作用有集中力偶,故M图有突变
![]()
2010年注册结构工程师考试报名时间信息汇总
结构工程师基础科目(一)考试普通化学练习题汇总
2010年结构师考试9月18、19日
更多信息请访问:结构工程师频道 结构工程师论坛
编辑推荐
最新资讯
- 2025年二级结构工程师考试都是选择题吗?题型分布与备考策略全解析2025-10-30
- 2025年一级注册结构工程师模拟题终极指南:高效备考冲刺全攻略2025-10-30
- 2025年二级结构工程师专业考试模拟题解析,免费下载!备考冲刺必备资料2025-10-29
- 注册结构工程师模拟考试题2023-04-23
- 一级注册结构工程师模拟题下载2023-04-21
- 一级注册结构工程师模拟题2023-04-20
- 2022年一级注册结构工程师试题2022-04-11
- 2021年注册结构工程师考前复习练习题汇总(含模拟题、历年真题)2021-09-28
- 2021年二级注册结构工程师专业考试冲刺试题及答案(十)2021-09-16
- 2021年二级注册结构工程师专业考试冲刺试题及答案(九)2021-09-15