结构工程师辅导:平面应力状态分析的解析法
更新时间:2010-06-30 08:33:41
来源:|0
浏览
收藏
结构工程师报名、考试、查分时间 免费短信提醒
一、 平面应力状态分析的解析法
平面应力状态通常用单元体中主应力为零的那个主平面的正投影表示如图5—9—1所示。

(一)任意斜截面成α的应力
若已知一平面应力状态σx、σy、σxy,则与I轴成。角的斜截面上的应力分量为

式中 正应力σ以拉应力为正;剪应力τ以对单元体产生顺时针力矩者为正,α角以逆时 针转向为正。
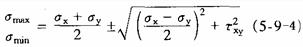
(二)主平面 主应力
主平面的方位角α0
![]()
主应力
![]()
考虑到单元体零应力面上的主应力为零,因此

单元体中互相垂直的两个截面上的正应力之和为常量,即
![]()
式中 β=α+90°。
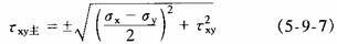
(三)主剪应力及其作用面
作用面方位角α1
![]()
数值
![]()
必须说明:
1.主剪应力τxy主是单元体上垂直于零应力面所有截面上剪应
力的极大值和极小值。并不一定是该点的最大和最小剪应力。
2.主剪应力作用面(主剪面)与主平面成45°角,即
![]()
2010年注册结构工程师考试报名时间信息汇总
结构工程师基础科目(一)考试普通化学练习题汇总
2010年结构师考试9月18、19日
更多信息请访问:结构工程师频道 结构工程师论坛
编辑推荐
最新资讯
- 2025年一级注册结构工程师考前实战试题解析:突破考试瓶颈的终极指南‌2025-10-13
- 2025年一级注册结构工程师常考知识点2025-02-17
- 2025年二级注册结构工程师高频知识点2025-02-17
- 2024年度二级注册结构工程师专业考试资料:规范、标准、规程2024-08-13
- 2024年度一级注册结构工程师专业考试资料:规范、标准、规程2024-08-13
- 环球网校双11预售开启!定金百倍膨胀,直播再返现金2023-10-25
- 环球网校结构工程师双11活动来啦,限时优惠!2023-10-25
- 注册结构工程师考试大纲下载2023-05-16
- 2023年一级注册结构工程师考试大纲内容2023-04-14
- 2023年结构工程师教材内容变动对比2023-04-10