结构工程师辅导:平面应力状态分析的应力圆法
更新时间:2010-06-30 08:39:15
来源:|0
浏览
收藏
结构工程师报名、考试、查分时间 免费短信提醒
一、 平面应力状态分析的应力圆法
(一)应力圆方程
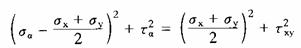
在平面应力状态σx、σy、τxy下,任意斜截面上的应力σσ与τσ间的关系式为一个圆方程。
![]()
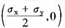
圆心
![]()
圆半径
![]()

(二)应力圆作法
若已知一平面应力状态σx、σy、τxy,则取横坐标为σ轴、纵坐标为τ轴,选定比例尺; 由(σx,τxy)确定点Dx,(σy,τyx)确定点Dy;连接DxDy交σ轴于C,以C为圆心, 或 为半径作圆,即得相应于该单元体的应力圆。
(三)应力圆与单元体之间的对应关系

以上对应关系可概括为“点面对应,转向相同,夹角两倍”。
2010年注册结构工程师考试报名时间信息汇总
结构工程师基础科目(一)考试普通化学练习题汇总
2010年结构师考试9月18、19日
更多信息请访问:结构工程师频道 结构工程师论坛
编辑推荐
最新资讯
- 2025年一级注册结构工程师考前实战试题解析:突破考试瓶颈的终极指南‌2025-10-13
- 2025年一级注册结构工程师常考知识点2025-02-17
- 2025年二级注册结构工程师高频知识点2025-02-17
- 2024年度二级注册结构工程师专业考试资料:规范、标准、规程2024-08-13
- 2024年度一级注册结构工程师专业考试资料:规范、标准、规程2024-08-13
- 环球网校双11预售开启!定金百倍膨胀,直播再返现金2023-10-25
- 环球网校结构工程师双11活动来啦,限时优惠!2023-10-25
- 注册结构工程师考试大纲下载2023-05-16
- 2023年一级注册结构工程师考试大纲内容2023-04-14
- 2023年结构工程师教材内容变动对比2023-04-10