结构工程师辅导资料:强度理论
一、 强度理论
(一)强度理论的概念 ;
1.材料破坏的两种类型
材料破坏型式不仅与材料本身的材质有关,而且与材料所处的应力状态、加载速度温度环境等因素有关。材料在常温、静载荷下的破坏型式主要有以下两种:
脆性断裂 材料在无明显的变形下突然断裂。
塑性屈服(流动) 材料出现显著的塑性变形而丧失其正常的工作能力。
2.强度理论 。
在复杂应力状态下关于材料破坏原因的假设,称为强度理论。
研究强度理论的目的,在于利用简单应力状态下的实验结果,来建立材料在复杂应力状态下的强度条件。
(二)四个常用的强度理论
四个常用强度理论的强度条件可以统一地写成

式中 σr称为相当应力,其表达式为
最大拉应力理论 σr1=σ1
(第一强度理论)
最大拉应变理论σr2=σ1-ν(σ1+σ2)
(第二强度理论)
最大剪应力理论σr3=σ1-σ3
(第三强度理论)
形状改变比能理论
(第四强度理论)
![]()
[σ]为材料的许用应力。

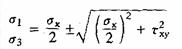
对于工程上常见的一种二向应力状态如图5—9—3所示,其特点是平面内某一方向的正应力为零。设σy=0,则该点的主应力为
![]()
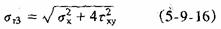
代入(5—9-15)式得:
第三强度理论(最大剪应力理论)的相当应力为
![]()
第四强度理论(形状改变比能理论)的相当应力为
![]()
最大拉应力理论、最大拉应变理论是关于脆性断裂的强度理论;最大剪应力理论、形
状改变比能理论是关于塑性屈服的强度理论。
强度理论的选用
在三向拉应力作用下,材料均产生脆性断裂,故宜用第一强度理论;而在三向压缩应力状态下,材料均产生屈服破坏,故应采用第三或第四强度理论。当材料处于二向应力状态作用下时:
脆性材料易发生断裂破坏,宜用第一或第二强度理论;
塑性材料易发生塑性屈服破坏,宜用第三或第四强度理论。
2010年注册结构工程师考试报名时间信息汇总
结构工程师基础科目(一)考试普通化学练习题汇总
2010年结构师考试9月18、19日
更多信息请访问:结构工程师频道 结构工程师论坛
最新资讯
- 2025年一级注册结构工程师考前实战试题解析:突破考试瓶颈的终极指南‌2025-10-13
- 2025年一级注册结构工程师常考知识点2025-02-17
- 2025年二级注册结构工程师高频知识点2025-02-17
- 2024年度二级注册结构工程师专业考试资料:规范、标准、规程2024-08-13
- 2024年度一级注册结构工程师专业考试资料:规范、标准、规程2024-08-13
- 环球网校双11预售开启!定金百倍膨胀,直播再返现金2023-10-25
- 环球网校结构工程师双11活动来啦,限时优惠!2023-10-25
- 注册结构工程师考试大纲下载2023-05-16
- 2023年一级注册结构工程师考试大纲内容2023-04-14
- 2023年结构工程师教材内容变动对比2023-04-10