结构工程师辅导:一点的最大正应力、最大剪应力
更新时间:2010-06-30 08:48:20
来源:|0
浏览
收藏
结构工程师报名、考试、查分时间 免费短信提醒
一、 一点的最大正应力,最大剪应力
一点的最大正应力为
![]()
一点的最大剪应力为
![]()
其作用平面与σ2方向平行且与σ1、σ3的作用面分别成45°。
一、广义虎克定律
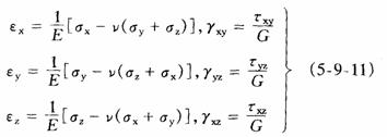
对于各向同性材料,小变形条件下,正应力仅引起线应变,剪应力仅引起相应的剪应变,所以应力一应变关系为

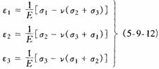
三向主应力状态下,主应力与主应变的关系为

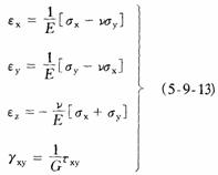
平面应力状态下的应力应变关系为

上列式中,E为弹性模量,v为泊松比,G为剪变模量。
2010年注册结构工程师考试报名时间信息汇总
结构工程师基础科目(一)考试普通化学练习题汇总
2010年结构师考试9月18、19日
更多信息请访问:结构工程师频道 结构工程师论坛
编辑推荐
下一篇:结构工程师辅导资料:强度理论
最新资讯
- 2025年一级注册结构工程师考前实战试题解析:突破考试瓶颈的终极指南‌2025-10-13
- 2025年一级注册结构工程师常考知识点2025-02-17
- 2025年二级注册结构工程师高频知识点2025-02-17
- 2024年度二级注册结构工程师专业考试资料:规范、标准、规程2024-08-13
- 2024年度一级注册结构工程师专业考试资料:规范、标准、规程2024-08-13
- 环球网校双11预售开启!定金百倍膨胀,直播再返现金2023-10-25
- 环球网校结构工程师双11活动来啦,限时优惠!2023-10-25
- 注册结构工程师考试大纲下载2023-05-16
- 2023年一级注册结构工程师考试大纲内容2023-04-14
- 2023年结构工程师教材内容变动对比2023-04-10