结构工程师:常用强度理论模拟试题(1)
更新时间:2010-06-30 09:02:12
来源:|0
浏览
收藏
结构工程师报名、考试、查分时间 免费短信提醒
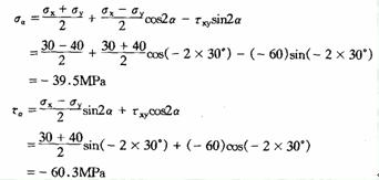
[例5-9-1] 已知构件上某点的应力单元体如图5-9-4(a),(b)所示(图中应力单位为MPa)。试求指定斜截面上的应力。

[解] 图示单元体处于平面应力状态。
(1)在图示坐标中
![]()
代人公式(5-9-1)、(5-9-2)得

σα、τσ方向如图中所示。
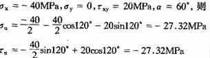
(2)在图示坐标中,

σα、τσ方向如图中所示。
2010年注册结构工程师考试报名时间信息汇总
结构工程师基础科目(一)考试普通化学练习题汇总
2010年结构师考试9月18、19日
更多信息请访问:结构工程师频道 结构工程师论坛
编辑推荐
最新资讯
- 2025年二级结构工程师考试都是选择题吗?题型分布与备考策略全解析2025-10-30
- 2025年一级注册结构工程师模拟题终极指南:高效备考冲刺全攻略2025-10-30
- 2025年二级结构工程师专业考试模拟题解析,免费下载!备考冲刺必备资料2025-10-29
- 注册结构工程师模拟考试题2023-04-23
- 一级注册结构工程师模拟题下载2023-04-21
- 一级注册结构工程师模拟题2023-04-20
- 2022年一级注册结构工程师试题2022-04-11
- 2021年注册结构工程师考前复习练习题汇总(含模拟题、历年真题)2021-09-28
- 2021年二级注册结构工程师专业考试冲刺试题及答案(十)2021-09-16
- 2021年二级注册结构工程师专业考试冲刺试题及答案(九)2021-09-15