结构工程师辅导资料:斜弯曲
更新时间:2010-07-01 09:04:49
来源:|0
浏览
收藏
结构工程师报名、考试、查分时间 免费短信提醒
一、 斜弯曲

(一)受力特征与变形特征
受力特征 横向力(或力偶)的作用线(作用面)通过横截面的弯曲中心,但不平行于梁的形心主惯性平面。
变形特征 弯曲平面与荷载作用平面不平行。
(二)应力计算

如图5—10—1所示,任意横截面上任意点(y,z)的应力为
![]()
(三)中性轴位置
由σ=0条件确定
![]()
式中 φ为外力作用线与y轴的夹角。
一般情况下,梁横截面的两个形心主惯矩并不相等Iy≠Iz,故α与φ不等,即中性轴与合弯矩矢量方向不平行(即中性轴不垂直荷载作用面),这是斜弯曲区别于平面弯曲的特点之一。
(四)强度条件
距中性轴最远的点是危险点。若截面具有棱角,则棱角点是危险点;无棱角的截面,应先确定中性轴的位置,再找到最远点(截面周边L平行巾性轴的切点处)。危险点处于单向应力状态。
设危险点的坐标为(yl,z1),则强度条件为
![]()
或
![]()
My、Mx不在同一截面达到最大值时,应试算My、Mz较大的几个截面,才能确定危险截面。若材料的许用拉、压应力不同[σt]≠[σc],则拉、压强度均应满足。
(五)变形计算
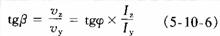
先分别求出Py、Px产生的挠度vy、vx,然后几何合成,得

总挠度v与y轴的夹角为
![]()
一般情况下,Iy≠Iz,故β≠φ
所以弯曲平面不平行荷载作用面。但β=|α|,中性轴垂直弯曲平面。
2010年注册结构工程师考试报名时间信息汇总
结构工程师基础科目(一)考试普通化学练习题汇总
2010年结构师考试9月18、19日
更多信息请访问:结构工程师频道 结构工程师论坛
编辑推荐
上一篇:结构工程师辅导:变形组合概述
最新资讯
- 2025年一级注册结构工程师考前实战试题解析:突破考试瓶颈的终极指南‌2025-10-13
- 2025年一级注册结构工程师常考知识点2025-02-17
- 2025年二级注册结构工程师高频知识点2025-02-17
- 2024年度二级注册结构工程师专业考试资料:规范、标准、规程2024-08-13
- 2024年度一级注册结构工程师专业考试资料:规范、标准、规程2024-08-13
- 环球网校双11预售开启!定金百倍膨胀,直播再返现金2023-10-25
- 环球网校结构工程师双11活动来啦,限时优惠!2023-10-25
- 注册结构工程师考试大纲下载2023-05-16
- 2023年一级注册结构工程师考试大纲内容2023-04-14
- 2023年结构工程师教材内容变动对比2023-04-10