结构工程师辅导资料:拉伸或压缩与弯曲的组合变形
一、 拉伸或压缩与弯曲的组合变形
(一)轴向力与横向力联合作用
图5—l0—2所示AB梁同时受轴向拉力P及横向分布荷载q作用。

任一横截面上的内力中:
由轴向力引起轴力N;由横向力引起弯矩Mz、剪力Qy。
横截面上任一点的正应力为
![]()
图示A截面为危险截面,上边缘点为危险点,处于单向应力状态,故强度条件为
![]()
对于脆性材料,则应分别校核其抗拉和抗压强度。对于塑性材料取σtmax、σcmax中绝对值最大者校核强度。
(二)偏心压缩(或拉伸)

图5—1—3所示杆件受偏心压力(或拉力)作用时,将同时产生轴向压缩(拉伸)和平面弯曲两种基本变形。
1.任一截面上的内力分量为
轴力 N=-P
弯矩
![]()
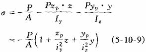
2,应力计算
任一点K(y,z)的应力为

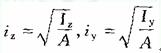
式中

偏心拉伸时,P用负值代入即可。
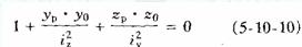
3、中性轴位置
横截面中心轴位置由σ=0确定,中性轴为一条不通过截面形心的直线。
![]()
式中 (z0,y0)为中性轴上任一点的坐标。
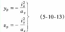
中性轴在y、z轴上的截距分别为

式中负号表明,截距ay、az分别与外力作用点位置yp、zp反号,即中性轴与外力作用点 分别处于形心的两侧。
4.强度条件
危险点位于距中性轴最远的点处。若截面有棱角,则危险点必在棱角处;若截面无棱角则在截面周边上平行于中性轴的切点处。危险点的应力状态为单向应力状态,其强度条件为

若材料的[σt]>[σc],则最大拉应力点与最大压应力点均需校核。
5.截面核心
定义 截面形心周围的一个区域,当偏心荷载作用于该区域时,截面上只出现一种应 力。
计算公式 确定截面核心,由与截面周边相切的中性轴截距,求外力作用点的位置,即

2010年注册结构工程师考试报名时间信息汇总
结构工程师基础科目(一)考试普通化学练习题汇总
2010年结构师考试9月18、19日
更多信息请访问:结构工程师频道 结构工程师论坛
最新资讯
- 2025年一级注册结构工程师考前实战试题解析:突破考试瓶颈的终极指南‌2025-10-13
- 2025年一级注册结构工程师常考知识点2025-02-17
- 2025年二级注册结构工程师高频知识点2025-02-17
- 2024年度二级注册结构工程师专业考试资料:规范、标准、规程2024-08-13
- 2024年度一级注册结构工程师专业考试资料:规范、标准、规程2024-08-13
- 环球网校双11预售开启!定金百倍膨胀,直播再返现金2023-10-25
- 环球网校结构工程师双11活动来啦,限时优惠!2023-10-25
- 注册结构工程师考试大纲下载2023-05-16
- 2023年一级注册结构工程师考试大纲内容2023-04-14
- 2023年结构工程师教材内容变动对比2023-04-10