结构工程师辅导资料:扭转和弯曲的组合
更新时间:2010-07-01 09:27:40
来源:|0
浏览
收藏
结构工程师报名、考试、查分时间 免费短信提醒
一、 扭转和弯曲的组合

当构件同时承受扭转力偶和横向力作用时,将产生扭转和弯曲两种基本变形。
(一)应力计算
若某一截面上内力分量有扭矩MT, 以及两相互垂直平面内的弯矩My、和
Mz,剪力Vy、Vz通常略去不计。则该 截面上任一点(y,z)处的应力分量有扭转剪应力τ,及弯曲正应力σ。若构件的横截面为圆形或空心圆截面。由于过圆形或空心圆截面形心的任一轴均为形心主惯性轴,故可先计算合成弯矩
![]()
然后,再按平面弯曲,计算正应力。
![]()
(二)强度条件
危险点及其应力状态
危险点位于合成弯矩作用平面与横截面相交的截面周边处。其应力状态为平面应力状态。

强度条件
对于塑性材料,选用第三或第四强度理论,其强度条件分别为

式中
![]()
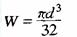
抗弯截面系数
![]()
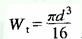
抗扭截面系数
![]()
2010年注册结构工程师考试报名时间信息汇总
结构工程师基础科目(一)考试普通化学练习题汇总
2010年结构师考试9月18、19日
更多信息请访问:结构工程师频道 结构工程师论坛
编辑推荐
最新资讯
- 2025年一级注册结构工程师考前实战试题解析:突破考试瓶颈的终极指南‌2025-10-13
- 2025年一级注册结构工程师常考知识点2025-02-17
- 2025年二级注册结构工程师高频知识点2025-02-17
- 2024年度二级注册结构工程师专业考试资料:规范、标准、规程2024-08-13
- 2024年度一级注册结构工程师专业考试资料:规范、标准、规程2024-08-13
- 环球网校双11预售开启!定金百倍膨胀,直播再返现金2023-10-25
- 环球网校结构工程师双11活动来啦,限时优惠!2023-10-25
- 注册结构工程师考试大纲下载2023-05-16
- 2023年一级注册结构工程师考试大纲内容2023-04-14
- 2023年结构工程师教材内容变动对比2023-04-10