结构工程师:扭转和弯曲的组合模拟题(1)
更新时间:2010-07-01 09:33:13
来源:|0
浏览
收藏
结构工程师报名、考试、查分时间 免费短信提醒
[例5-10-1] 截面为矩形b×h:90mm×180mm的悬臂木梁,承受荷载Pl=lkN,P2=1.6kN,如图5—10—9所示,木材的E=I×l04MPa。试求
l.梁内最大正应力及其作用点位置;
2.粱的最大挠度。

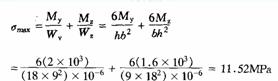
[解] 1.最大正应力
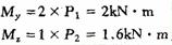
危险截面在固定端处,其弯矩为
![]()
危险点为固定端截面上的D1点和D2点,其正应力为

其中Dl点为拉应力,D2点为压应力。
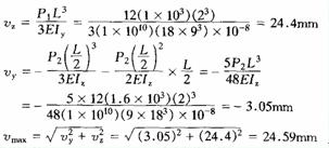
2.最大挠度
最大挠度发生在自由端截面

2010年注册结构工程师考试报名时间信息汇总
结构工程师基础科目(一)考试普通化学练习题汇总
2010年结构师考试9月18、19日
更多信息请访问:结构工程师频道 结构工程师论坛
编辑推荐
最新资讯
- 2025年二级结构工程师考试都是选择题吗?题型分布与备考策略全解析2025-10-30
- 2025年一级注册结构工程师模拟题终极指南:高效备考冲刺全攻略2025-10-30
- 2025年二级结构工程师专业考试模拟题解析,免费下载!备考冲刺必备资料2025-10-29
- 注册结构工程师模拟考试题2023-04-23
- 一级注册结构工程师模拟题下载2023-04-21
- 一级注册结构工程师模拟题2023-04-20
- 2022年一级注册结构工程师试题2022-04-11
- 2021年注册结构工程师考前复习练习题汇总(含模拟题、历年真题)2021-09-28
- 2021年二级注册结构工程师专业考试冲刺试题及答案(十)2021-09-16
- 2021年二级注册结构工程师专业考试冲刺试题及答案(九)2021-09-15