结构工程师:扭转和弯曲的组合模拟题(2)
更新时间:2010-07-01 09:40:18
来源:|0
浏览
收藏
结构工程师报名、考试、查分时间 免费短信提醒
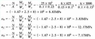
[例5-10—2] 矩形截面短柱承受荷载P1、P2作用如图5—10—10所示。试求固定端截面上角点A、B、C及D处的正应力,并确定该截面中性轴的位置。

[解] 1.固定端截面的内力分量

2.各点应力

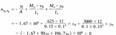
3.中性轴位置
设(yo、zo)为中性轴上任一点的坐标,则有

得中性轴方程
![]()
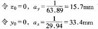
中性轴与y、z轴的截距

中性轴位置如图(b)所示。
2010年注册结构工程师考试报名时间信息汇总
结构工程师基础科目(一)考试普通化学练习题汇总
2010年结构师考试9月18、19日
更多信息请访问:结构工程师频道 结构工程师论坛
编辑推荐
下一篇:注册结构工程师模拟习题(1)
最新资讯
- 2025年二级结构工程师考试都是选择题吗?题型分布与备考策略全解析2025-10-30
- 2025年一级注册结构工程师模拟题终极指南:高效备考冲刺全攻略2025-10-30
- 2025年二级结构工程师专业考试模拟题解析,免费下载!备考冲刺必备资料2025-10-29
- 注册结构工程师模拟考试题2023-04-23
- 一级注册结构工程师模拟题下载2023-04-21
- 一级注册结构工程师模拟题2023-04-20
- 2022年一级注册结构工程师试题2022-04-11
- 2021年注册结构工程师考前复习练习题汇总(含模拟题、历年真题)2021-09-28
- 2021年二级注册结构工程师专业考试冲刺试题及答案(十)2021-09-16
- 2021年二级注册结构工程师专业考试冲刺试题及答案(九)2021-09-15