注册结构工程师模拟习题(1)
更新时间:2010-07-02 08:46:30
来源:|0
浏览
收藏
结构工程师报名、考试、查分时间 免费短信提醒
[例5-11—2] 两端铰支压杆的长度L=1200mm,材料为Q235钢,E=2x105MPa,截面面积A=900mm2。若截面形状为(1)正方形,(2)d/D=0.7的空心圆管。求各杆的临界压力。
[解] 1.正方形截面
计算柔度
边长 a= 惯性半径
![]()
长度系数μ=1
所以
![]()
A3钢λp≈100,λ>λp属细长杆
可以用欧拉公式计算临界压力
所以
![]()
属细长杆
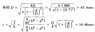
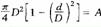
2.空心圆截面
由
![]()
得

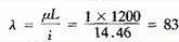
所以柔度
![]()
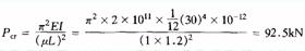
Q235钢
![]()
由直线型经验公式
![]()
本题中二杆的截面积、杆长和支承方式均相同,只是截面形状不同。它们的柔度也不同,临界压力随柔度的减小而增大。
2010年注册结构工程师考试报名时间信息汇总
结构工程师基础科目(一)考试普通化学练习题汇总
2010年结构师考试9月18、19日
更多信息请访问:结构工程师频道 结构工程师论坛
编辑推荐
下一篇:注册结构工程师模拟习题(2)
最新资讯
- 2025年二级结构工程师考试都是选择题吗?题型分布与备考策略全解析2025-10-30
- 2025年一级注册结构工程师模拟题终极指南:高效备考冲刺全攻略2025-10-30
- 2025年二级结构工程师专业考试模拟题解析,免费下载!备考冲刺必备资料2025-10-29
- 注册结构工程师模拟考试题2023-04-23
- 一级注册结构工程师模拟题下载2023-04-21
- 一级注册结构工程师模拟题2023-04-20
- 2022年一级注册结构工程师试题2022-04-11
- 2021年注册结构工程师考前复习练习题汇总(含模拟题、历年真题)2021-09-28
- 2021年二级注册结构工程师专业考试冲刺试题及答案(十)2021-09-16
- 2021年二级注册结构工程师专业考试冲刺试题及答案(九)2021-09-15