注册结构工程师:流体静压强及其特性
更新时间:2010-07-19 08:32:48
来源:|0
浏览
收藏
结构工程师报名、考试、查分时间 免费短信提醒
第一节 流体静力学
流体静力学是研究流体处于静止状态下的平衡规律及其在工程上的应用。当流体静止 时,各质点之间不产生相对运动,因而流体的粘滞性不起作用,所以静止流体只能承受压 力。本节将研究流体静压强的分布规律,并根据这些规律,确定作用在平面壁上和曲面壁上的总压力。
一、流体静压强及其特性
(一)流体静压强的定义
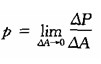
从静止的均质流体中,任取一体积V,四周流体对该体积V的作用力,如图,6—2—1所示。设用一平面ABCD,将此体积分I、Ⅱ两个部分。假定将I部分移去,并以等效的力代替它对Ⅱ部分的作用,使Ⅱ部分不失去原有的平衡。从平面ABCD上任意取一面积ΔA。α点是该面积的中心。Δp为面积ΔA上的流体静压力,当面积趋近于零时,平均压强的极限值就是该点的压强用p表示。

流体静压强的特性
1.流体静压强垂直于作用面,方向与该作用面的内法线方向相同。
2.静止流体中任意点静压强的大小与作用面的方位无关,即同一点上各方向压强大小均相等。

2010年注册结构工程师考试报名时间信息汇总
结构工程师基础科目(一)考试普通化学练习题汇总
2010年结构师考试9月18、19日
更多信息请访问:结构工程师频道 结构工程师论坛
编辑推荐
最新资讯
- 1元速取!2026注册结构工程师知识点集锦课程2026-03-31
- 2025年一级注册结构工程师考前实战试题解析:突破考试瓶颈的终极指南‌2025-10-13
- 2025年一级注册结构工程师常考知识点2025-02-17
- 2025年二级注册结构工程师高频知识点2025-02-17
- 2024年度二级注册结构工程师专业考试资料:规范、标准、规程2024-08-13
- 2024年度一级注册结构工程师专业考试资料:规范、标准、规程2024-08-13
- 环球网校双11预售开启!定金百倍膨胀,直播再返现金2023-10-25
- 环球网校结构工程师双11活动来啦,限时优惠!2023-10-25
- 注册结构工程师考试大纲下载2023-05-16
- 2023年一级注册结构工程师考试大纲内容2023-04-14