注册结构工程师:流体静压强的分布规律(1)
二、流体静压强的分布规律
(一)重力作用下静压强的基本方程

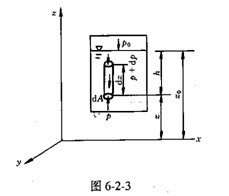
在容器中,取一圆柱体,它的水平截面积为dA(图6-2-3),在重力作用下,水平方向因表面力大小相等,方向相反。在竖直方向,作用在底面的压力等于p,方向向上;顶面的压力等于p+dp,方向向下;质量力是重力pgdzdA方向向下,各力处于平衡状态,有pdA—(p+dp)dA—pgdAdz=0,用dA遍除各项可得
![]()
对于不可压缩流体ρ为常数,积分上式得
![]()
将自由液面z=z0,p=p0代入,求得积分常数c=p0+ρgz0代入上式,并用液面下的深度z0-z=h代入可得
![]()
也有教材中用符号γ=ρg,表示单位体积流体的重量上式成p=p0+γh表示。
式(6-2-3)就是重力作用下的静压强基本方程式。它说明在静止流体中,任一点的压强 等于表面压强加上单位面积(A=1)的液体柱重量(pghA)。利用它可求出静止流体中任一点压强值。从基本方程可以看出下面一些规律来:
1.根据式(6-2-3)可知,自由表面压强加变化,液体内所有各点压强都随着变化,这个表面不一定是自由表面。例如,在密闭容器中的表面加一活塞,当活塞对容器加压所产生的压强将等值地传递到液体中的各点,这就是帕斯卡定理。
2.在重力作用下的静止均质流体中,自由表面深度h相等各点,压强相等。压强相等各点组成的面称为等压面。一般地说,重力作用下的静止流体自由表面是等压面且和重力相互垂直。同样,在连通器中两种不相混杂液体的分界面是水平面也是等压面。
3.流体密度不同,产生的压强就不同,一个容器装满清水或海水或水银,其容器底的压强不相同。基本方程在一定范围内也适用于气体,如在空气中由于它的密度只有水的八百分之一,当h不大时,p和p0可看作相等。
2010年注册结构工程师考试报名时间信息汇总
结构工程师基础科目(一)考试普通化学练习题汇总
2010年结构师考试9月18、19日
更多信息请访问:结构工程师频道 结构工程师论坛
最新资讯
- 1元速取!2026注册结构工程师知识点集锦课程2026-03-31
- 2025年一级注册结构工程师考前实战试题解析:突破考试瓶颈的终极指南‌2025-10-13
- 2025年一级注册结构工程师常考知识点2025-02-17
- 2025年二级注册结构工程师高频知识点2025-02-17
- 2024年度二级注册结构工程师专业考试资料:规范、标准、规程2024-08-13
- 2024年度一级注册结构工程师专业考试资料:规范、标准、规程2024-08-13
- 环球网校双11预售开启!定金百倍膨胀,直播再返现金2023-10-25
- 环球网校结构工程师双11活动来啦,限时优惠!2023-10-25
- 注册结构工程师考试大纲下载2023-05-16
- 2023年一级注册结构工程师考试大纲内容2023-04-14