注册结构工程师:压强的测量(1)
更新时间:2010-07-19 09:15:03
来源:|0
浏览
收藏
结构工程师报名、考试、查分时间 免费短信提醒
(二)压强的量测
1.测压管
这是最简单的一种液柱式压力计。用一直径8-10mm的直玻璃管、管的下端与量测点连接,管的上端开口与大气相通,如图6-2-6所示。根据测压管中液柱上升的高度,就可得到该点的压强。
2.U形管测压计


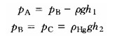
由于在工程上往往遇到的压强较大,如果采用测压管测压,其管长必然很长,不宜安装且读数不方便。此时,可用U形测压计。如图6-2-7所示,因B,C是等压面上的两点,可得

则
![]()
2010年注册结构工程师考试报名时间信息汇总
结构工程师基础科目(一)考试普通化学练习题汇总
2010年结构师考试9月18、19日
更多信息请访问:结构工程师频道 结构工程师论坛
编辑推荐
下一篇:注册结构工程师:压强的测量(2)
最新资讯
- 1元速取!2026注册结构工程师知识点集锦课程2026-03-31
- 2025年一级注册结构工程师考前实战试题解析:突破考试瓶颈的终极指南‌2025-10-13
- 2025年一级注册结构工程师常考知识点2025-02-17
- 2025年二级注册结构工程师高频知识点2025-02-17
- 2024年度二级注册结构工程师专业考试资料:规范、标准、规程2024-08-13
- 2024年度一级注册结构工程师专业考试资料:规范、标准、规程2024-08-13
- 环球网校双11预售开启!定金百倍膨胀,直播再返现金2023-10-25
- 环球网校结构工程师双11活动来啦,限时优惠!2023-10-25
- 注册结构工程师考试大纲下载2023-05-16
- 2023年一级注册结构工程师考试大纲内容2023-04-14