注册结构工程师:压强的测量(2)
更新时间:2010-07-19 09:20:11
来源:|0
浏览
收藏
结构工程师报名、考试、查分时间 免费短信提醒
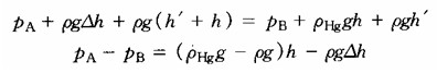
3.水银压差计
在工程中,有时要测量两点或两根自来水管的压强差,可采用如图6-2—8所示水银压 差计。将两端分别连接到点A、B处,从图上可知C、D两点在同一等压面上pC=pD,
即

若两水管为同一平面时(Δh=0),则其压差PA—pB=(ρHg-ρ)gh或

4.金属压力表及真空表

量测较大压强,可用压力表,其优点是结构简单、安全可靠。通常金属压强表内装有一根一端开口,一端封闭的铜制弹簧弯管,如图6-2-9所示,开口端通过短管和被测定压强的液体相通,封闭端可自由伸缩、并以齿轮与指针相连;施测时,弹簧弯管在液体压力的作用下,截面变形,促使管封闭端张开伸直、带动齿轮,转动指针,把液体的相对压强在表面读数盘上指示出来。
真空表的构造与压力表类似,当被测压强小于大气压压强时即出现负压强,使弹簧管弯缩,转动指针,指示负压或真空值。
2010年注册结构工程师考试报名时间信息汇总
结构工程师基础科目(一)考试普通化学练习题汇总
2010年结构师考试9月18、19日
更多信息请访问:结构工程师频道 结构工程师论坛
编辑推荐
上一篇:注册结构工程师:压强的测量(1)
最新资讯
- 1元速取!2026注册结构工程师知识点集锦课程2026-03-31
- 2025年一级注册结构工程师考前实战试题解析:突破考试瓶颈的终极指南‌2025-10-13
- 2025年一级注册结构工程师常考知识点2025-02-17
- 2025年二级注册结构工程师高频知识点2025-02-17
- 2024年度二级注册结构工程师专业考试资料:规范、标准、规程2024-08-13
- 2024年度一级注册结构工程师专业考试资料:规范、标准、规程2024-08-13
- 环球网校双11预售开启!定金百倍膨胀,直播再返现金2023-10-25
- 环球网校结构工程师双11活动来啦,限时优惠!2023-10-25
- 注册结构工程师考试大纲下载2023-05-16
- 2023年一级注册结构工程师考试大纲内容2023-04-14