注册结构工程师:作用在平面上的流体静压力(2)
(二)解析法

解析法就是根据力学的原理,运用数学分析的方法来求平面壁静水总压力的计算公式。
设有一与水平面成夹角α的倾斜平面AB,如图6—2—12所示,斜面AB左侧承受水压力、水面大气压强为pa,把平面绕Oy轴转90°,受压平面图形就在xy面上清楚地表现出来。现对xy坐标分析受力问题。设在受压平面上任取一微小面积dA,其中心点在液面下的深度h,则作用在微小面积的静水压力为dp=P·dA=ghdA整个受压面作用着一系列的同向平行力,根据平行力系之和的原理,将各微小压力dp沿受压面进行积分,得作用在受压平面的静压力
![]()
既
![]()
静水压力的作用点(也称压力中心)由于压强与水深呈直线变化,深度较大的地方压强较大,所以压力中心D在y轴的位置必然低于形心C。D点的位置可以利用各微小面积dA上的静压力dP对x轴的力矩等于整个受压面上的静压力户对x轴力矩(力矩定理)求得。
微小压力dP对x轴的力矩为:
![]()
各微小力矩的总和为:
![]()
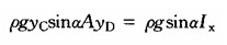
静压力P对x轴的力矩
![]()
由于合力对某轴之矩等于各分力对同轴力矩之和。
因此
![]()
根据材料力学中轴的平移原理可得:
![]()
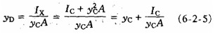
于是得求压力中心的基本公式

式中 YD-压力中心沿y轴方向至液面交线的距离;
YC-受压面形心沿y轴方向至液面交线的距离;:
IC—受压面绕通过形心且平行于液面交线轴的惯性矩。
由于IC/yCA总是正值;故YD>YC,说明压力中心D点总是在形心C的下面。
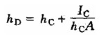
当平面壁是铅直平面时;其作用点公式为

式中 hD是压力中心至液面的距离
2010年注册结构工程师考试报名时间信息汇总
结构工程师基础科目(一)考试普通化学练习题汇总
2010年结构师考试9月18、19日
更多信息请访问:结构工程师频道 结构工程师论坛
最新资讯
- 1元速取!2026注册结构工程师知识点集锦课程2026-03-31
- 2025年一级注册结构工程师考前实战试题解析:突破考试瓶颈的终极指南‌2025-10-13
- 2025年一级注册结构工程师常考知识点2025-02-17
- 2025年二级注册结构工程师高频知识点2025-02-17
- 2024年度二级注册结构工程师专业考试资料:规范、标准、规程2024-08-13
- 2024年度一级注册结构工程师专业考试资料:规范、标准、规程2024-08-13
- 环球网校双11预售开启!定金百倍膨胀,直播再返现金2023-10-25
- 环球网校结构工程师双11活动来啦,限时优惠!2023-10-25
- 注册结构工程师考试大纲下载2023-05-16
- 2023年一级注册结构工程师考试大纲内容2023-04-14